匹维溴铵
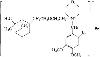
C26H41Br2NO4=591.42 CAS-53251-94-8 CAS-59995-65-2(pinaverium) 4-(6-溴藜芦基)-4-[2-[2-(6,6-二甲基-2-去甲蒎基)乙氧]乙基]吗啉鎓溴化物。 4-(6-Bromoveratryl)-4-[2-[2-(6,6-dimethyl-2-norpinyl)ethoxy]ethyl]morpholinium bromide. 4-[(2-溴-4,5-二甲氧苯基)甲基]-4-[2-[2-(6,6-二甲基双环[3.1.1]庚-2-基)乙氧]乙基]吗啉鎓溴化物。 4-[(2-Bromo-4,5-dimethoxyphenyl)methyl]-4-[2-[2-(6,6-dimethylbicyclo[3.1.1]hept-2-yl)ethoxy]ethyl]morpholinium,bromide. 解痉药,局部麻醉药。 用于治疗胃肠功能紊乱。 Pinaxerium Bromide,Dicetal,Dicetel,Eldicet,L 1717,LAT 1717. INN,USAN.  |