网站首页  词典首页


请输入您要查询的字词:

 

字词 匹氨西林丙苯酸盐
类别 中英文字词句释义及详细解析
释义 匹氨西林丙苯酸盐

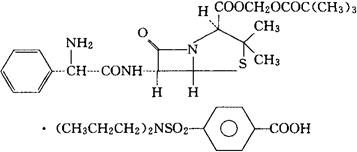
C22H29N3O6S·C13H19NO4S=748.91

CAS-42190-910

CAS-39030-71-2(replacde)

CAS-33817-20-8(pivampicillin)

[2S-[2α,5α,6β(S*)]]-6-[(氨基苯乙酰)氨基]-3,3-二甲基-7-氧代-4-硫杂-氮杂双环[3.2.0]庚烷-2-羧酸(2,2-二甲基-1-氧代丙氧)甲酯,单4-[(二丙氨基)磺酰]苯甲酸(1∶1)。

[2S-[2α,5α,6β(S*)]]-6-[(Aminophenylacetyl)amino]-3,3-dimethyl-7-oxo-4-thia-azabicyclo[3.2.0]heptane-2-carboxylic acid,(2,2-dimethyl-1-oxopropoxy)methyl ester,mono 4-[(dipropylamino)sulfonyl]benzoate(1∶1).

羟甲基(D)-(-)-6-(2-氨基-2-苯乙酰胺)-3,3-二甲基-7-氧代-4-硫杂-1-氮杂双环[3.2.0]庚烷-2-羧酸新戊酸酯与对-(二丙氨磺酰)苯甲酸(1∶1)的化合物。

Hydroxymethyl D-(-)-6-(2-amino-2-phenylacetamide)-3,3-dimethyl-7-oxo-4-thia-1-azabicyclo[3.2.0]heptane-2-carboxylate pivalate(ester)compound with p-(dipropylsuflamoyl)benzoic acid(1∶1).

抗生素类药,抗菌药。

二丙氨磺酰苯甲酸匹氨西林。

Pivampicillin Probenate.

随便看

 

离鸟网收录3541549条中英文词条,其功能与新华字典、现代汉语词典、牛津高阶英汉词典等各类中英文词典类似,基本涵盖了全部常用中英文字词句的读音、释义及用法,是语言学习和写作的有利工具。

 

Copyright © 2004-2024 vtrois.com All Rights Reserved
更新时间:2026/4/19 20:05:17