网站首页  词典首页


请输入您要查询的字词:

 

字词 黄绿青霉毒素
类别 中英文字词句释义及详细解析
释义

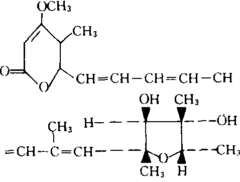
黄绿青霉毒素citreoviridin

黄绿青霉(Penicilliumcitreo-viride),异名毒青霉(P.toxicarium)产生的毒素。本菌寄生在米粒的胚部或疵部,随着霉菌的生长,米粒的一部或全部逐渐变成黄色。黄绿青霉毒素为橙黄色柱状结晶,溶于丙酮、氯仿等,不溶于石油醚和水。其结构式如左。粗制毒素加热至270℃才失去毒性。经紫外线照射2h,大部分毒素可被破坏。毒性作用迅速,主要损害中枢神经。导致脊髓神经发生麻痹;慢性中毒可使动物发生肝肿瘤及贫血。

随便看

 

离鸟网收录3541549条中英文词条,其功能与新华字典、现代汉语词典、牛津高阶英汉词典等各类中英文词典类似,基本涵盖了全部常用中英文字词句的读音、释义及用法,是语言学习和写作的有利工具。

 

Copyright © 2004-2024 vtrois.com All Rights Reserved
更新时间:2026/4/20 21:39:04