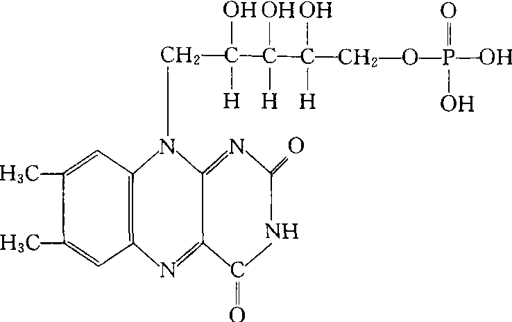
核黄素磷酸酯。有氧化型和还原型两种形式,分别简写成FMN和FMNH2。含有维生素B2,是一种假核苷酸。在氧化还原反应中,分子中的异咯嗪环可以可逆地进行加氢和脱氢反应。为一些需氧或不需氧脱氢酶或黄素蛋白的辅基,在生物体内一般起递氢作用。
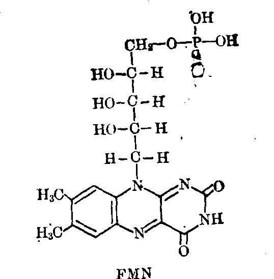
黄素单核苷酸
黄素单核苷酸(FMN)是一些黄素酶的辅基,与酶蛋白以非共价键结合,但结合紧密,其结构式如下:
FMN分子中所含的是核糖醇,所以也称为磷酸核黄素。FMN分子中的异咯嗪部分可以进行可逆的脱氢和加氢反应,能传递两个氢原子。
通常黄素核苷酸每次传递二个氢原子,但有时在正常循环中每次也可传递一个电子或一个氢原子,产生半还原(或半醌)形式的黄素核苷酸。


氧化型FMN在370nm和450nm波长处有吸收峰,当转变成还原型后,在450nm波长处的吸收峰消失。黄素酶的氧化型常呈黄色、红棕色或黄绿色,故又称黄酶。含FMN的黄素酶有NADH脱氢酶及二氢乳清酸氧化酶。所有植物及多种微生物都能合成核黄素 (即维生素B2),而高等动物则不能。人体内的FMN是由游离的核黄素在核黄素激酶催化下产生,需要ATP。
