网站首页  词典首页


请输入您要查询的字词:

 

字词 黄嘌呤
类别 中英文字词句释义及详细解析
释义

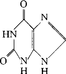
黄嘌呤xanthine,xan,X.

2,6-二氧嘌呤。结构式如右。是黄嘌呤核苷酸的组成分。也是嘌呤碱在体内分解产生的中间物,由腺嘌呤和鸟嘌呤脱氨氧化生成,进一步氧化则转变为脲酸。

随便看

 

离鸟网收录3541549条中英文词条,其功能与新华字典、现代汉语词典、牛津高阶英汉词典等各类中英文词典类似,基本涵盖了全部常用中英文字词句的读音、释义及用法,是语言学习和写作的有利工具。

 

Copyright © 2004-2024 vtrois.com All Rights Reserved
更新时间:2026/4/18 11:17:27