网站首页  词典首页


请输入您要查询的字词:

 

字词 鱼藤酮
类别 中英文字词句释义及详细解析
释义

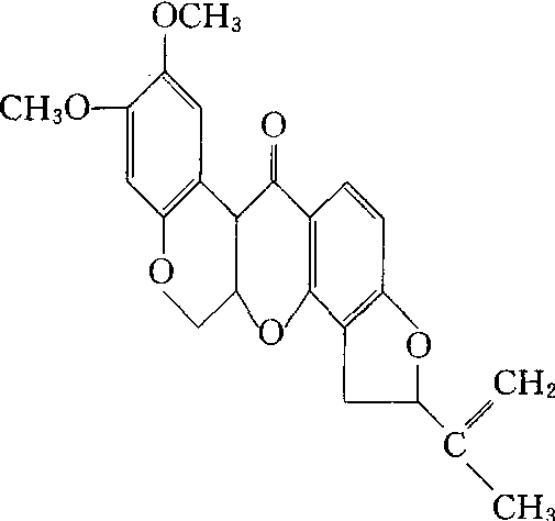
鱼藤酮rotenone

抑制神经组织和肌肉组织的选择性植物源杀虫剂。已发现存在于豆科的15个属植物的根部。其中以鱼藤属和梭果豆属最重要,主要品种毛鱼藤(Derris elliptica)、马来鱼藤(Derrismalaccensis)、中国鱼藤(Derris chinensis)、秘鲁梭果豆(Lonchocarpus utilis)和巴西梭果豆(Lonchocarpusurucu)。其所含具有杀虫活性的有效成分含量较高、产量较大。商品名有鱼藤酮、Chem-Fish、Derris、Foliafume、Nicouline、Noxfire、Noxfish、Nusyn-Noxfish、PB-Nox、Prenfish、Prentox、Rotenox、Tubatoxin等。化学结构式:

市场上销售的鱼藤根含鱼藤酮在4%或5%以上,高的可达13%;梭果豆根含鱼藤酮在0.9% 至20.1%之间。
19世纪中叶中国人已用鱼藤根制作杀虫剂。1892年杰弗雷(E.Geoffroy)首先开始梭果豆有效成分的研究,1912年永井(K.Nagai)从中国鱼藤中分离出鱼藤酮,1932年鱼藤酮的化学结构由拉福H(F.B.LaForge)和哈勒(H .L .Haller)、布特南特(A.Butenandt)和麦卡特尼(W.McCartney)、武居(S.Takei)和宫岛(S.Miyajima)等、罗伯逊(A. Robertson)在四个独立的实验室中完成测定并报 道,1961 年 宫 野(M. Miyano) 和 松 井(M.Matsui)等首先成功地合成了鱼藤酮。
性能 纯品为无色六角板状结晶,熔点163℃,从分子结构看有不同的光学异构体。天然产品是左旋性的,旋光率[α]D-225°(苯中),遇碱会消旋化,易氧化,在光、空气、水、碱性条件下氧化均加快,并失去杀虫活性,干燥条件下较稳定。难溶于水,稍溶于链烃,易溶于极性有机溶剂,如氯仿、二氯乙烯和香精油等。对高等动物毒性中等,对大鼠急性经口LD50为132~ 1500毫克/千克,对小鼠急性经口LD50为350毫克/千克,对兔急性经皮LD50为940毫克/千克,对猪有毒。对鱼类等水生生物和家蚕高毒,对蜜蜂低毒。其杀虫活性较高,抑制神经组织和肌肉组织中谷氨酸脱氢酶的活性,影响虫体对氧气的吸收量和呼吸代谢,主要起触杀和胃毒作用,无内吸作用,具选择性。比除虫菊酯较为迟效,但无假死现象,残效期短,基本无残留问题,对作物安全,使用后对农产品品质无不良影响。杀虫谱广,对鳞翅目、半翅目、鞘翅目、双翅目、膜翅目、缨翅目、蜱螨亚纲等多种害虫有效。
应用 鱼藤根可直接加工成粉剂,提取物可加工成粉剂、溶液、乳油等剂型使用,用非碱性填料加工粉剂。主要用于蔬菜、果树、茶树、花卉等作物防治各种蚜虫、螨、网蝽、瓜蝇、甘蓝夜蛾、斜纹夜蛾、蓟马、黄条跳甲、黄守瓜、二十八星瓢虫、茶毛虫、茶尺蠖等,还可用于防治卫生害虫,如蚊、蝇、跳蚤、虱子等。喷药要均匀。残效期短,一般为5~6天,夏季仅2~3天,因此要根据虫情适时用药。不能与碱性药剂混用。使用时加入适量增效剂,能降低用量,提高药效。

鱼藤酮rotenone

广谱植物性杀虫剂。为豆科植物鱼藤根和厚果鸡血藤、豆薯等种子内的主要有效成分。化学结构式如下。纯品为无色六角板状结晶,有两种对映异构体,一种熔点163℃,另一种熔点181℃,几乎不溶于水(100℃时溶解15 mg/L),稍溶于链烃溶剂,易溶于极性有机溶剂,在氯仿中可溶解47.2%。性质不稳定,在日光、空气、高温、水分、碱性物质等存在下,很易分解失效。有强烈的胃毒和触杀作用,也有一定驱避作用,杀虫作用较迟缓。在昆虫体内,抑制呼吸作用,使线粒体的呼吸链被切断,从而影响到ATP的产生。主要用于茶、桑、果树、蔬菜及粮棉作物,防治蚜虫和多种咀嚼口器害虫。鱼藤酮的加工制剂有两种:一种是鱼藤精,是含鱼藤酮2.5%,5%和 7%的乳油;另一种是鱼藤粉,含鱼藤酮4%左右。鱼藤酮对大白鼠口服LD50为132 mg/kg。对鱼剧毒,水中含0.077 mg/L即可致死。

随便看

 

离鸟网收录3541549条中英文词条,其功能与新华字典、现代汉语词典、牛津高阶英汉词典等各类中英文词典类似,基本涵盖了全部常用中英文字词句的读音、释义及用法,是语言学习和写作的有利工具。

 

Copyright © 2004-2024 vtrois.com All Rights Reserved
更新时间:2026/4/20 17:55:27