网站首页  词典首页


请输入您要查询的字词:

 

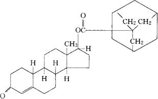
字词 勃金刚酯
类别 中英文字词句释义及详细解析
释义 勃金刚酯

C29H40O3=436.63

CAS-1491-81-2

17-[(三环[3.3.1.13.7]癸-1-基羰基)氧]雌甾-4-烯-3-酮。

17-[(Tricyclo[3.3.1.13.7]dec-1-ylcarbonyl)oxy]estr-4-en-3-one.

17β-羟基雌甾-4-烯-3-酮1-金刚烷羧酸酯。

17β-Hydroxyestr-4-en-3-one 1-adamantanecarboxylate.

雄激素,同化激素类药。

Bolmantalate.

INN,BAN,USAN.

随便看

 

离鸟网收录3541549条中英文词条,其功能与新华字典、现代汉语词典、牛津高阶英汉词典等各类中英文词典类似,基本涵盖了全部常用中英文字词句的读音、释义及用法,是语言学习和写作的有利工具。

 

Copyright © 2004-2024 vtrois.com All Rights Reserved
更新时间:2026/4/19 13:07:11