网站首页  词典首页


请输入您要查询的字词:

 

字词 劳地铵甲硫酸盐
类别 中英文字词句释义及详细解析
释义 劳地铵甲硫酸盐

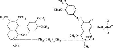
C54H80N2016S2=1077.35

CAS-3253-60-9

2,2′-癸烷双(1,2,3,4-四氢)-6.7-二甲氧-2-甲基-1-藜芦基异喹啉鎓甲基硫酸盐。

2,2′-Decamethylenebis(1,2,3,4-tetrahydro)-6,7-dimethoxy-2-methyl-1-veratrylisoquinolium methylsulfate.

2,2′-(1,10-癸烷二基)双[1-[(3,4-二甲氧苯基)-甲基]-1,2,3,4-四氢-6,7-二甲氧-2-甲基异喹啉鎓]甲基硫酸盐。

2,2′-(1,10-Decanediyl)bis[1-[(3,4-dimethoxyphenyl)methyl]-1,2,3,4-tetrahydro-6,7-dimethoxy-2-methylisoquinolium]methylsulfate.

消毒防腐药,神经肌肉阻断药,骨骼肌肉松弛药。

甲硫酸劳地铵,劳德力率。

Laudexium Methylsulfate,Laudexium Methyl,Sul fate,Laudissin,Landolissin.

INN(Laudexium Metilsulfate),BAN(Laudexium Methylsulphate),USAN,MI.

随便看

 

离鸟网收录3541549条中英文词条,其功能与新华字典、现代汉语词典、牛津高阶英汉词典等各类中英文词典类似,基本涵盖了全部常用中英文字词句的读音、释义及用法,是语言学习和写作的有利工具。

 

Copyright © 2004-2024 vtrois.com All Rights Reserved
更新时间:2026/4/20 13:12:41