网站首页  词典首页


请输入您要查询的字词:

 

字词 动挠度及其平衡的计算
类别 中英文字词句释义及详细解析
释义 动挠度及其平衡的计算

1.动挠度的计算

[说明]辊筒的静、动不平衡力不仅在辊筒支点上产生动载荷,也使辊筒本身挠曲。这种由不平衡力产生的挠度,称为动挠度,以区别于在静力(自重、附加压力、成形网毛毡等的张力)作用下产生的静挠度。动挠度在辊筒旋转时才能产生和进行测定。动挠度的计算也随管辊辊壳壁厚不匀的二种情况而变化。

❶ 由辊壳壁厚不匀导致的静不平衡所产生的最大动挠度计算

a-静不平衡产生的匀布动载荷的挠度曲线 b-对称的不平衡力偶矩产生的动载荷的挠度曲线

c-全不平衡时的动载荷的挠度曲线

2.动挠度的平衡计算

[说明]管辊的动挠度及其轴承上的动载荷的平衡需要通过控制管辊辊壳的壁厚不匀度系数k来减少。其方法是在辊面两端处加上平衡质量来减少以至消除管辊轴承上的动载荷和减少管辊的动挠度,但经过平衡后的管辊仍可能有动挠度,这是因为加在管辊两端的平衡重块形成集中载荷,虽然能够消除支点上的动载荷,但其产生的动挠度却不一定能使原来的动挠度恰好抵消。按照壁厚不匀情况,在辊面两端加上平衡质量来消除其静及动不平衡时,将产生两种情况,即由平衡质量产生的动挠度及由平衡力矩产生的动挠度。

❶ 由平衡质量产生的动挠度计算

[说明]如图2-3-25所示,a图表示了在辊面两端处用p1及p2两个平衡重块去平衡由壁厚不匀而产生的沿辊面匀布的不平衡载荷,即进行静平衡。静平衡后管辊的最大挠度计算如下。

a-辊筒上的负荷 b-辊筒的挠曲轴线

a-平衡力矩产生的动挠度抵消了动不平衡力矩产生的动挠度时

b-平衡力矩产生的最大动挠度

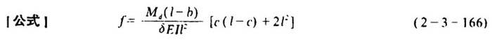
式中 Md——校动平衡前的动力矩(N·m)

c——校动平衡前后两个力偶矩的力偶臂中心距离(m)

δ——辊壳的璧厚(m)

其它同上

[例]在其它条件相同的情况下,求c=0.051及c=0.11时的校动平衡后的管辊挠度?比未校动平衡前的动挠度相比增加了多少?

未校动平衡前的动挠度为:

即比未校平衡前增加了50%。

即比未校平衡前增加了3倍。

随便看

 

离鸟网收录3541549条中英文词条,其功能与新华字典、现代汉语词典、牛津高阶英汉词典等各类中英文词典类似,基本涵盖了全部常用中英文字词句的读音、释义及用法,是语言学习和写作的有利工具。

 

Copyright © 2004-2024 vtrois.com All Rights Reserved
更新时间:2026/4/18 4:05:46