网站首页  词典首页


请输入您要查询的字词:

 

字词 动态规划
类别 中英文字词句释义及详细解析
释义 动态规划

求解多阶段序贯决策问题的最优化方法。

多阶段序贯决策问题是一种复杂的决策问题,它在时间(或是由解题方便而规定的其他因素)上分为若干阶段,其中每阶段都需做出决策,而困难之处在于前面做出的决策将会影响后面的决策。求解一个动态规划问题,所遵循的方法来自于“最优性原理”,即一系列的决策如果是最优的话,那么它其中任何一个子决策(若干相连的决策)也是最优的。

这从直观上来说是明显的,因为如果子决策不是最优的话,将可以找到一个更好的子决策,这将使得总的一系列决策更好,从这条原理可以得出动态规划问题的求解方法,由后向前,逐步递推。为了讲述解法,先引进一些记号:设阶段变量k(1≤k≤n)表示决策阶段;状态变量Sk表示第k阶段的状态,这由初始状态及已作出的决策而定;决策变量xk(Sk)表示在第k阶段时处于Sk状态下所做的决策;损益变量d[Sk,Xk(Sk)]表示在Sk状态下作决策xk(Sk)所带来的损益;fk(Sk)处于Sk状态下的最优决策序列。有了这些变量,根据最优性原理,动态规划的模型可以表达为:

在这个问题中,阶段明显为A→B→C→D三个阶段,各C是第1阶段,各B是第2阶段,A为第三阶段,状态变量即各地点,决策变量即各道路,损益变量即各道路之长,最终的决策序列即一系列道路,而目标为路长之和最短,求解如下:

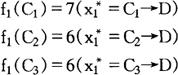
从图中直接可以看出:

(注:变量加星号表示最优解)

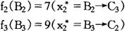
对于B1

同理可求得B2,B3

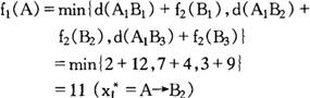
对于A:

因此,最短路长为11,走法为(将各最优解串联即可),A→B2→C3→D。

随便看

 

离鸟网收录3541549条中英文词条,其功能与新华字典、现代汉语词典、牛津高阶英汉词典等各类中英文词典类似,基本涵盖了全部常用中英文字词句的读音、释义及用法,是语言学习和写作的有利工具。

 

Copyright © 2004-2024 vtrois.com All Rights Reserved
更新时间:2026/4/18 18:20:44