网站首页  词典首页


请输入您要查询的字词:

 

字词 食用油脂及其卫生
类别 中英文字词句释义及详细解析
释义
食用油脂及其卫生

食用油脂及其卫生

油脂为人类膳食的重要成分,主要供给人体所需的热能和必需脂肪酸,尚可增强食物的饱腹感并使食品味美可口。但如储存不当,油脂易于酸败,防止酸败是油脂的一个重要卫生问题。
食用价值和来源 食用油脂为高热能食品,每100g可产热能3766~3891kJ(900~930kcal)。油脂可供给人体必需的脂肪酸,如亚油酸、花生四烯酸和亚麻酸。这些脂肪酸多为不饱和脂肪酸,主要来自植物油,如豆油含亚油酸52.2%,棉籽油含55.6%,其他油(茶油和菜籽油除外),都含30%以上。食用油脂有利于脂溶性维生素A、D、E等的消化吸收。有的油脂并含有一定量的脂溶性维生素,如鱼肝油富含维生素A、D,麦胚油、玉米胚油等含有维生素E。油脂在胃内停留时间较长,一般含油脂多的食物在胃中停留时间可长达5~6h,饱腹作用强。用油脂烹调食物可改善食品的感官性质,使食物种类多样化。食用油脂的营养价值还表现于消化率高低上,消化率愈高,营养价值愈大。由于植物油熔点低,室温下多呈液态,故其消化率较动物脂肪高,一般皆可达95%以上。羊脂、牛脂因熔点高,消化率最差。食用油脂根据来源可分为以下几种:
植物油 主要是利用植物种子为原料制成的油,包括豆油、花生油、菜籽油、芝麻油、棉籽油、葵籽油和茶油;此外,尚有一些野生和木本油料作物,如油棕、油橄榄、文冠果、油莎草、旱生油瓜等,这些野生油料作物的果肉和种子含油率均很高,高者可达80%以上,低者也含30%左右。
动物油脂 系指一般动物的体脂,不包括来自奶汁的脂肪。我国人民常吃的动物油脂主要是猪油、牛油和羊油。动物油脂含饱和脂肪酸多,因此熔点较高,消化吸收率较植物油低;所含必需脂肪酸和维生素也较少,且胆固醇量高;故营养价值不如植物油。
黄油 系指由奶中分出的脂肪,黄油中含脂肪82.5%,蛋白质约0.5%,维生素含量丰富,每100g中含维生素A2700IU,且所含脂肪酸种类非常完全,亦易于消化吸收,是食用价值很高的油脂。黄油在生产过程中有时为了保持一定的色泽需人工着色,仅限使用食用色素,应保证对人体无害,最好用胡萝卜素。
人造黄油 人造黄油是利用价格便宜的植物油或鱼油加氢硬化制成。人造黄油如加工得法,其消化吸收率可与植物油匹比,且可改善原来油脂的不愉快气味,并易于储存。人工着色时可使用胡萝卜素。人造黄油中亦可加入维生素A和D,用量为100g成品加入维生素A5000IU,维生素D500IU。
食用油脂的加工和卫生 一般油脂加工方法有: 压榨法、熬炼法、浸出法及机械分离法四种。
压榨法 通常用于植物油的榨取,或作为熬炼法的辅助法。压榨有冷榨和热榨两种,热榨系将油料作物种子炒焙后,再榨取;冷榨法则不加炒焙直接榨取。热榨法可破坏大部分种子组织中的酶,且油脂与组织易分离,故产量较高,产品中存留的残渣较少,易保存,如压榨后再经过滤或分离,则更佳。热榨油脂气味香,但颜色较深,冷榨油香味较差,但色淡。
熬炼法 常用于动物油脂加工,并常以压榨法作为辅助。动物组织经高温熬制后,组织中的脂肪酶和氧化酶可全部被破坏,在压榨时即使有少量残渣存留于油脂中,亦不致因氧化酶的作用而使油脂酸败,因此熬炼法在卫生学上是较完善的加工法。但熬炼的温度不宜过高,时间亦不宜过长,否则可使部分脂肪分解,而使油脂中游离脂肪酸量增高。且温度过高可使动物组织焦化,影响产品的色香味。
浸出法 是利用有机溶剂提取组织中的油脂,然后再将溶剂蒸馏除去,以得到纯净的油脂产品。目前国外制油工业多用浸出法,我国生产豆油也基本采用浸出法。浸出法制得的油脂几乎不含有组织残渣,故油脂不易分解、酸败。浸出法油脂的缺点是溶剂不易完全除净,而所用溶剂多为轻汽油、己烷等,如溶剂本身不纯净,含有一些有毒化合物,如苯、多环芳烃等,长期食用,可对人体造成危害。故要求用沸点低、沸程窄,沸点为60~70℃左右的溶剂。浸出食油溶剂的残留量必须符合国家食品卫生标准,不得超过50mg/kg。同时在生产过程中必须严格遵守操作规程,严防溶剂“跑、冒、滴、漏”。浸出后所余残渣不适用作饲料,仅可用作肥料。
机械分离法(离心法) 是用离心机将油脂分离。此法油脂必须呈液态时方可应用,故主要用于自奶中分离奶油,亦可用作提纯食油的辅助加工方法。如压榨法,在用蒸气湿化并加热磨碎原料后,即可先以机械分离法提出一部分油脂,然后再进行压榨。或当压榨制得的产品中残渣杂质过多时,可在所得产品中加热水使油脂浮起,然后再以机械法分离上层油脂,以减少油脂产品的残渣含量,达到纯化目的。
食用油脂加工过程中的主要卫生问题,是设法防止或减少动植物组织残渣的存留,和尽量避免外界微生物的污染。对浸出法生产的食油应注意溶剂的纯度和溶剂的残留。实际生产应结合生产设备条件和原料种类选择适当的加工方法。
油脂酸败及预防 油脂长期贮存于不适宜的条件下,油脂可产生一系列的化学改变,致油脂的感官性状发生不良影响,这种改变,即称为油脂酸败,俗称腺败。
油脂酸败原因 可能有两方面: 一方面是由于动植物组织残渣和微生物产生的酶引起的酶解过程 (生物学的);另一方面是纯化学过程,即在空气、阳光、水等作用下发生的水解过程和不饱和脂酸的自身氧化。此两种过程常同时发生,但也可能由于油脂本身性质和贮存条件不同而主要表现于某一方面。这些变化过程的结果,使油脂分解出游离脂肪酸,产生酮、醛类以及各种氧化物,不但使油脂感官性状改变,且可能对机体产生不良影响。
(1)油脂酸败的酶解过程: 酶解过程可分为两个阶段: 首先是脂肪分子分解成为脂肪酸和甘油,因游离脂肪酸增加,油脂的酸价增高。此时不一定都有感官上的改变。高级脂肪酸并不具有不愉快的气味或滋味,仅低级脂肪酸(C4~C10),如丁酸(C3H7COOH),己酸(C5H11COOH),辛酸(C7H15COOH)等才具有特殊气味和苦涩滋味。其次是脂肪酸碳链被氧化而断裂,形成碳链较短的一些新物质,如酮酸及甲基酮等;此种酮酸及甲基酮则具有不愉快的味道。以上是酮式的酸败过程,这一过程主要是在有水、含氮物质和空气的条件下由于青霉菌和曲霉活动而引起。
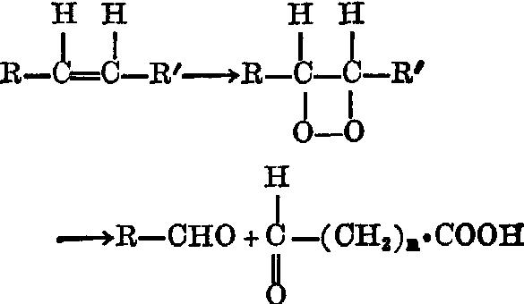
(2)油脂酸败的化学过程: 这一过程主要由光线、空气及水等因素所引起的化学变化。可分为两个主要方面: 一是水解过程,基本上与酶解过程中的水解过程相似,只是化学水解过程较为缓慢,不如酶解过程迅速; 二是自身氧化(或称自动氧化)。自身氧化在油脂酸败中占极其主要地位,一般多发生于不饱和脂肪酸的甘油酯,尤其是油酸酯。在阳光、空气作用下,再经铜、铁或叶绿素等的催化作用,先在不饱和脂肪酸的双键处,构成过氧化物,然后再分解成为易挥发并具有特臭的醛类及醛酸类等。这些物质使油脂的感官性状甚至理化性质发生改变(图)。

油脂酸败的化学过程


酸败油脂的食用价值 已经酸败的油脂,由于感官性状改变,其强烈的不愉快味道和气味可使油脂完全不适于食用。酸败油脂即使感官性状改变尚未达到不能食用程度,其营养价值也已降低。酸败过程使油脂营养素遭到破坏,维生素E在油脂开始酸败时首先被氧化,其他几种脂溶性维生素如维生素A、维生素D等在酸败过程中也很快被氧化,因而失去功效。酸败油脂不仅本身含有的维生素被破坏,其他食物中的维生素在接触酸败油脂时或摄入胃肠道后亦可遭受破坏。有实验证明长期摄入酸败油脂可加剧核黄素缺乏症,其原因可能有二:
❶由于酸败过程的氧化或分解产物对肠菌丛的作用,而使核黄素不能有效地被机体利用;
❷可能是氧化产物增强机体对核黄素的消耗及代谢,而增高核黄素的需要量。酸败油脂除破坏食物中的营养素外,对机体的几种酶系统亦有损害作用,根据体外组织培养实验证明,酸败过程的氧化产物对体内的重要酶系统如琥珀酸氧化酶、细胞色素氧化酶等均有破坏作用。此外,动物长期摄入酸败油脂,可出现体重减轻和发育障碍,当油脂过氧化物值急增时,动物肝脏明显增大。对机体产生这些不良影响的原因,一般认为是由于油脂氧化产物破坏食物中营养素和这些氧化产物具有毒性所致。
防止油脂酸败的措施 防止油脂变质,应要求油脂的纯度高和贮存条件合乎卫生。油脂在加工过程中,应防止植物残渣的存留,和尽量避免微生物污染,或设法破坏酶的活动,以减少油脂在贮存期间的酸败变质。水分对油质变质关系极大,水可作为微生物繁殖的媒介,又可促进酶的活动,因而加速油脂酸败过程。故油脂应尽量少含水分,我国规定油脂中水分不得超过0.2%。阳光和空气对油脂变质的影响也很重要。光线可促进油脂氧化,但不同波长的光线,其作用效率亦各异(见表1)。紫外线、紫色、蓝色等光线可加速油脂氧化,而绿色则否。将油脂装于蓝色或无色玻璃瓶内,4周内即开始酸败,而装于绿玻璃瓶内,2个月后仍未改变。故油脂应贮藏于不透明的容器或绿色的玻璃瓶内,并应加盖密封,放于阴暗处,尽量避免接触光线和空气。高温也可促进油脂氧化,因此油脂仓库的温度应低。铁、铜、锰、铬、镍和铅等金属微量存在时,也可加速油脂氧化酸败,因其具有催化作用。所以油脂加工机械设备和贮存容器应不含上述金属元素。加入油脂抗氧化剂也是防止油脂酸败的有效措施之一。食品工业中使用的油脂抗氧化剂有丁基羟基茴香醚(BHA)、二丁基羟基甲苯(BHT)和没食子酸丙酯。

表1 玉米油和棉籽油在不同波长光照下的过氧化物值

滤光板的通透
范 围
()
过氧化物值(mmol/kg)
玉米油棉籽油
样品1样品2样品1样品2
3600~5200
4200~5200
4900~5900
5800~6800
6800~7900
20.9
8.7
4.5
1.1
1.1
20.2
8.5
4.9
1.4
1.2
17.6
12.4
8.1
3.1
2.1
17.3
12.5
7.9
3.4
1.8

高温加热油脂的营养价值和毒性作用 高温加热油脂可发生一系列化学变化。一方面由于油脂被氧化,必需脂肪酸和维生素可遭到破坏,影响油脂的营养价值;另一方面不饱和脂肪酸可发生聚合作用,形成大分子化合物,而具有一定毒性。
油脂经高温加热后对营养价值的影响 高温加热可使油脂中维生素A、胡萝卜素、维生素E等破坏。以加热到1000℃的棉籽油饲养大白鼠,出现维生素A缺乏症。高温加热后,油脂中的必需脂肪酸亦可被破坏,油脂经高温处理后,其产热能力仅为普通油脂的三分之一左右;可能是由于高温使油脂分子结构改变,因而在体内氧化时,不能产生同等的热能。同时这种经高温处理的油脂,当与其他食物同时进食时,尚可妨碍其他营养素的吸收率。一般烹调时,油脂加热的温度不高,时间短暂,对营养价值的影响不甚显著,但食品企业油炸食物时,油脂长期反复使用,且加热温度较高,则有降低油脂营养价值的可能。
高温加热油脂的毒性作用 以高温加热的油脂饲养动物一段时间后,动物生长停滞,肝脏肿大。最初认为是高温加热破坏油脂中营养素所致。但有人在动物饲料中添加维生素E,亦不能改善这种不良的影响。可见不仅因营养素破坏所致,经加热的油脂中可能尚有其他氧化产物,这些物质对机体有害。且动物实验中,发现此种物质尚有致癌的可能。有人发现高温加热油脂饲养大白鼠数月后,普遍出现胃溃疡和乳头状瘤,并有肝瘤、肺腺癌、肉瘤和乳腺瘤等出现。至于高温加热后油脂中所形成的有害物质,各学者意见尚不一致,一般认为主要是不饱和脂肪酸经加热而产生各种聚合物。聚合作用即二个或二个以上分子的不饱和脂肪酸聚合,使碳链闭合,构成大分子团。三聚体不易被机体吸收。二聚体可被吸收一部分,毒性较强,可使动物生长停滞,肝脏肿大、生育功能和肝功能发生障碍。甚至怀疑是否有致癌作用。油脂中的甘油经热解可形成丙烯醛等化合物。丙烯醛有强臭味,并对粘膜有刺激作用。为了预防高温加热油脂对机体造成的不良影响,应尽量避免温度过高。减少反复使用次数,随时添加新油,以防止聚合物形成。
油脂污染及其他毒物问题
霉菌毒素对油脂的污染 油料种子被霉菌及其毒素污染后,榨出的油中亦含有毒素。花生很易被黄曲霉毒素污染,含黄曲霉毒素的花生油,必须经去除毒素,才可食用。比较有效的去毒方法是碱炼法和吸附法。用碱炼法可使黄曲霉毒素B1,含量由800μg/kg降低到20μg/kg以下。碱炼法的缺点是油耗损较多,操作繁琐。活性白陶土吸附法去毒效果较好,油中黄曲霉毒素B1的含量可由800μg/kg降至10μg/kg以下,但去毒效果与白陶土的质量、加入数量以及油样的温度有关。除白陶土外,可用活性炭吸附,油料耗损量小,对油的食用价值无影响,且不形成新的具有毒性的物质。而碱炼法去毒处理后的油,容易酸败。我国规定一般食用油中黄曲霉毒素允许量不得超过10μg/kg;花生油不超过20μg/kg。
粗制生棉油的毒性问题 用棉籽所榨的油称为棉油,经碱炼后,是一种适于食用的植物油,但由于棉籽中含有毒性物质,榨油前如棉籽未经蒸炒加热,直接榨油,则此种粗制生棉油含有有毒物质,食用后可引起中毒。棉籽中已知有毒物质有游离棉酚、棉酚紫和棉酚绿等三种色素。棉酚有游离型和结合型两种,后者无毒。棉酚紫经热处理或加酸水解,可产生游离棉酚。这三种有毒物质在棉籽色素腺体中的百分含量为: 游离棉酚20~40%,棉酚紫0.15~3.0%,棉酚绿2.0%。三种有毒物质对大白鼠经口的LD50分别为2570、6680和666mg/kg (体重)。虽游离棉酚的毒性并非最强,但因含量远较另两种色素为高,故生棉籽油的毒性决定于游离棉酚的含量。国外研究,棉籽饼中游离棉酚含量在0.02%以下,对动物不具毒性;如为0.02~0.05%,则显示较弱毒性。我国规定棉籽油中游离棉酚不得超过0.03%。为控制棉油游离棉酚含量于0.02以下,采用适当加工方法,极为重要。加工方法不同,棉油中的游离棉酚含量相差极大 (见表2),棉籽经炒和蒸可减少一部分游离棉酚,碱炼后效果更为显著。棉籽未经蒸、炒加温,直接压榨的粗制生棉油中游离棉酚含量最高,不能食用。根据食用不同棉油地区流行病学调查,发现吃第一种棉油者中毒发病率最高;吃第二、三种棉油者较少; 吃第四种棉油的人群无一人发病。说明第四种方法加工的棉油,其游离棉酚已达到不显毒性的水平。食用游离棉酚含量较高棉油的人群,其中毒的流行病学特点主要是: 妇女的发病率比男子明显为高。发病率在夏季形成高峰,至秋冬缓解,次年夏季照旧多发。一天内以近中午气温高时并在阳光下暴晒者为重。其临床特点主要是:
❶皮肤灼热难忍,且无汗或少汗,同时有心慌、无力、肢体麻木、头晕、皮肤潮红、气急等。
❷影响生殖机能。男性病人绝大多数精液中无精子,曲细精管萎缩,且不易恢复。女性病人出现闭经,但停止食用并经治疗后,多数可恢复。因本病临床上明显表现为皮肤烧热,体温虽稍升高,但皮肤温度上升较多,且不出汗,故当地称之为“烧热病”。预防的唯一办法是不吃粗制生棉油,而吃经过炒、蒸或碱炼后的棉油。
油脂中苯并(a)芘含量问题 用轻汽油浸出法生产食油,较传统榨油法一般可提高出油率3%或更高,是一项较先进的生产技术。轻汽油的主要成分为己烷及庚烷;但不纯的轻汽油中常含有其他有毒杂质如苯、多环芳烃等,给食油带来一定的卫生问题。因为多环芳烃类中的苯并(a)芘是一种已确定的致癌物质,食油又是长年食用的食品,若被污染,会给人民健康造成极大的危害。植物油中所含的苯并(a)芘除来自浸出用溶剂外,还来自植物本身。棉籽油和葵籽油中所含的苯并(a)芘,主要来自棉籽壳和葵花籽壳,籽仁所含较壳中为少。故浸出毛油含苯并(a)芘的数量比机榨油为高。油脂去除苯并(a)芘有效的办法是以活性炭进行吸附。上海市对浸出菜籽油和豆油用活性炭处理去除苯并(a)芘,去除率可达90%左右,是比较理想的办法。

表2 不同加工方法棉籽油中游离棉酚含量(%)

编号加工方法游离棉酚含量
1
2
3
4
棉籽直接机压
棉籽经粉碎、蒸坯后再榨
棉籽经粉碎、炒、蒸坯后再榨
第三种棉油再经碱炼
1~1.3
0.4~0.6
0.1~0.2
0.03

菜籽油的卫生问题 菜籽是我国主要油料之一,菜籽油产量约占全部植物油年产总量1/3以上。菜籽含油量很高,达40%以上。菜籽油和其他种食油不同的是其某些脂肪酸含量过高,如芥酸和亚麻酸;某些脂肪酸含量又过低,如软脂酸和硬脂酸。我国有些食用菜籽油芥酸含量可高达48.5%,饱和与不饱和脂肪酸之比为0.05。动物试验结果,高芥酸菜籽油影响动物生长发育和繁殖能力,对雄性大鼠尤为敏感,可出现睾丸变小、退化、无成熟精子。同时菜籽油有损害心肌作用,使心肌脂质沉积、组织细胞脂肪浸润和纤维细胞增生,亦可见肾脏和肝脏的病理变化。菜籽油引起心肌病变原因,不仅因芥酸含量过高,尚与菜籽油含饱和脂肪酸过低有关。
菜籽油含亚麻酸量也较高,亚麻酸有抑制亚油酸转变为花生四烯酸作用,从而降低了心肌磷脂中花生四烯酸水平,因而阻碍了心肌的正常功能,并引起心肌损害。故菜籽油的有害作用,并非一个因素造成,而是菜籽油中各种脂肪酸相互制约、相互促进等综合因素所致。不同种属的动物对菜籽油毒性反应不一,大白鼠最为敏感。目前尚未见到菜籽油对人体有害作用的报道,因此将动物实验结果引用到人体时,必须慎重。预防菜籽油毒害的根本办法是改良菜籽品种,培育低芥酸、低硫代葡萄糖甙的品种,使芥酸含量低于5%。
米糠油的卫生问题 米糠油生产大都采用溶剂浸出法。故应注意溶剂纯度及油中溶剂残留问题。由于米糠中含有脂族酯酶,可使油脂分解为脂肪酸和甘油,并使米糠油酸价增高;因此用于榨油的米糠要新鲜,生产出的米糠夏天最好在36h内进行榨油,即使在冬天,也不得超过72h。此外尚应注意农药和多氯联苯对米糠油的污染,粮谷在生产和储存过程中均有被农药污染的可能。尤其糠皮居于谷粒外层,更易被污染,在生产油脂过程中即可混入油中。多氯联苯由于耐热性能好,常用作载热体。日本即曾发生过由于萃取米糠油的脱臭过程中,以多氯联苯作载热体,竟使多氯联苯混入油中高达2000~3000mg/kg,造成万人中毒,60多人死亡的严重事件。对此应加注意。
☚ 奶类食品及其卫生   酒类及其卫生 ☛
00000444
随便看

 

离鸟网收录3541549条中英文词条,其功能与新华字典、现代汉语词典、牛津高阶英汉词典等各类中英文词典类似,基本涵盖了全部常用中英文字词句的读音、释义及用法,是语言学习和写作的有利工具。

 

Copyright © 2004-2024 vtrois.com All Rights Reserved
更新时间:2026/4/19 20:57:56