网站首页  词典首页


请输入您要查询的字词:

 

字词 动态总投资偿还期
类别 中英文字词句释义及详细解析
释义 动态总投资偿还期

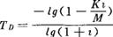
指在考虑资金(投资)利息的情况下,偿还(回收)全部投资所需的时间,其计算公式为:

式中:TD表示动态总投资偿还期;K表示投资总额;i表示银行利率;M表示项目投产后所获纯利。

随便看

 

离鸟网收录3541549条中英文词条,其功能与新华字典、现代汉语词典、牛津高阶英汉词典等各类中英文词典类似,基本涵盖了全部常用中英文字词句的读音、释义及用法,是语言学习和写作的有利工具。

 

Copyright © 2004-2024 vtrois.com All Rights Reserved
更新时间:2026/4/18 2:30:18