网站首页  词典首页


请输入您要查询的字词:

 

字词 动压支承
类别 中英文字词句释义及详细解析
释义 动压支承

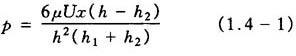
如图1.4-1所示的渐缩缝隙,当下板以匀速U向右移动时,会使缝隙内的流体产生高于两端口的大气压的压力,此压力在平板上产生一总合力,称为支承力。此支承力纯因平板向狭缝运动而生,故称为动压支承。

时:

缝隙中流体的压力分布

支承力

式中 B——垂直纸面的平板宽度;

c——大小头缝隙高度比,

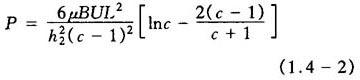
最大支承力

时可得最大支承力

最大支承力的作用点

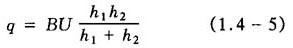
缝隙中流量

随便看

 

离鸟网收录3541549条中英文词条,其功能与新华字典、现代汉语词典、牛津高阶英汉词典等各类中英文词典类似,基本涵盖了全部常用中英文字词句的读音、释义及用法,是语言学习和写作的有利工具。

 

Copyright © 2004-2024 vtrois.com All Rights Reserved
更新时间:2026/4/20 5:39:11