网站首页  词典首页


请输入您要查询的字词:

 

字词 加洛塞米
类别 中英文字词句释义及详细解析
释义 加洛塞米

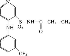
C15H14F3N3O3S=373.35

CAS-52157-91-2

N-[[4-(α,α,α-三氟-间-甲苯氨基)-3-吡啶基]磺酰基]丙酰胺。

N-[[4-(α,α,α-Trifluoro-m-toluidino)-3-pyridyl]sulfonyl]propionamide.

N-[[4-[[3-(三氟甲基)苯基]氨基]-3-吡啶基]磺酰]丙酰胺。

N-[[4-[[3-(Trifluoromethyl)phenyl]amino]-3-pyridinyl]sulfonyl]propanamide.

利尿药,消炎药。

Galosemide,C 2124.

INN,USAN.

随便看

 

离鸟网收录3541549条中英文词条,其功能与新华字典、现代汉语词典、牛津高阶英汉词典等各类中英文词典类似,基本涵盖了全部常用中英文字词句的读音、释义及用法,是语言学习和写作的有利工具。

 

Copyright © 2004-2024 vtrois.com All Rights Reserved
更新时间:2026/4/20 20:46:48