网站首页  词典首页


请输入您要查询的字词:

 

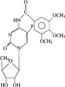
字词 加洛他滨
类别 中英文字词句释义及详细解析
释义 加洛他滨

C19H22FN3O8=439.40

CAS-124012-42-6

N-[1-(5-脱氧-β-D-呋喃核糖基)-5-氟-1,2-二氢-2-氧代-4-嘧啶基]-3,4,5-三甲氧基苯甲酰胺。

N-[1-(5-Deoxy-β-D-ribofuranosyl)-5-fluoro-1,2-dihydro-2-oxo-4-pyrimidinyl]-3,4,5-trimethoxybenzamide.

抗肿瘤药。

Galocitabine.

INN,USAN.

随便看

 

离鸟网收录3541549条中英文词条,其功能与新华字典、现代汉语词典、牛津高阶英汉词典等各类中英文词典类似,基本涵盖了全部常用中英文字词句的读音、释义及用法,是语言学习和写作的有利工具。

 

Copyright © 2004-2024 vtrois.com All Rights Reserved
更新时间:2026/4/20 9:48:36