网站首页  词典首页


请输入您要查询的字词:

 

字词 加权平均法
类别 中英文字词句释义及详细解析
释义 加权平均法

加权平均法有加权算术平均法、加权几何平均法等等,但一般是指加权算术平均法。

给定一组数据,当求它们的平均数时,常由于每个数据的重要性不完全相同,使得采用算术平均数作为该组数据的平均数并非一个最理想的办法。其最佳平均数应是把每个数据的重要性在计算平均数时考虑进去。具体方法是,把每一个数据的重要性估计一个称为“权数”的数值来代表,然后求每个数据与对应的权数之积的和,再把此和除以各个权数之和。这种计算平均数的方法与程序称为加权平均法,所得的平均数称为加权平均数。

设x1,x2,……,xn为给定的n个数据,w1,w2,……,wn为已知的对应权数。根据上述加权平均数的定义,加权平均数可用下式求得:

可简写为:

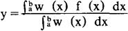
当给出的不是一组数据,而是连续变化的函数时,同样可求其加权平均数,只是给定的权数也必需是一个函数。设给定的连续数值为函数f(x),给定的权数为函数w(x),则求(a,b)区间内加权平均数的公式为:

随便看

 

离鸟网收录3541549条中英文词条,其功能与新华字典、现代汉语词典、牛津高阶英汉词典等各类中英文词典类似,基本涵盖了全部常用中英文字词句的读音、释义及用法,是语言学习和写作的有利工具。

 

Copyright © 2004-2024 vtrois.com All Rights Reserved
更新时间:2026/4/19 14:48:10