网站首页  词典首页


请输入您要查询的字词:

 

字词 加权平均数
类别 中英文字词句释义及详细解析
释义 加权平均数

通过加权后算出的平均数。

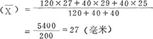
例如计算某一批棉花的加权平均长度:该批棉花共200件,其中27毫米长度的为120件,29毫米长度的为40件,25毫米长度的为40件,则该批棉花的加权平均长度为:

其中称为加权平均数,它是考虑到每种长度的棉花件数,上比例式中的棉花件数即为权,即有权衡轻重之意。

由此,加权平均数亦可通俗地称为加权后平均值,所谓权在上式中即为各种长度的件数。即若干个数值变量分别与其权量之乘积的总和再除以其权量总和所得的商。

式中()为加权平均数,∑a为权量总和,∑xiai为x1a1+x2a2+x3a3+……+xnan

随便看

 

离鸟网收录3541549条中英文词条,其功能与新华字典、现代汉语词典、牛津高阶英汉词典等各类中英文词典类似,基本涵盖了全部常用中英文字词句的读音、释义及用法,是语言学习和写作的有利工具。

 

Copyright © 2004-2024 vtrois.com All Rights Reserved
更新时间:2026/4/20 8:48:28