网站首页  词典首页


请输入您要查询的字词:

 

字词 预收备料款额度
类别 中英文字词句释义及详细解析
释义

预收备料款额度

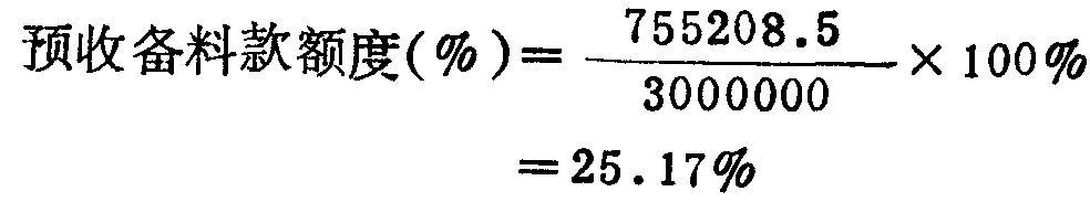
企业向建设单位预收备料款占承包工程造价的比重。一般不应超过年度承包工程所需材料价值的三分之一,即相当于四个月(120天)的储备量。其计算公式为:


预收备料款(元)=年度承包工程总值×预收备料款额度
或者是先求备料款的数额,再求其额度:


[例]某建安企业承包的工程,其年度工程造价为300万元,其中材料费占62.5%,储备天数为145天,则:

随便看

 

离鸟网收录3541549条中英文词条,其功能与新华字典、现代汉语词典、牛津高阶英汉词典等各类中英文词典类似,基本涵盖了全部常用中英文字词句的读音、释义及用法,是语言学习和写作的有利工具。

 

Copyright © 2004-2024 vtrois.com All Rights Reserved
更新时间:2026/4/20 16:00:17