网站首页  词典首页


请输入您要查询的字词:

 

字词 加压送风系统的设计
类别 中英文字词句释义及详细解析
释义 加压送风系统的设计

(一)设计原则

加压送风系统的设计,就是要确保疏散通道内的压力在关门时要大于相邻空间的压力,而在开门时在门断面上维持一定的断面风速,以避免烟气侵入到疏散通道内。如图3-2-28所示,要保证空间B中的烟气不侵入到空间A,就要保证空间A的压力高于空间B的压力,同时空间B还必须要有一定的缝隙(窗缝、门缝等)将空气渗漏出去,这样才能保证空间A的空气向空间B流动。若空间B不能将空气渗漏出去,则空间B的压力就会逐渐升高,直到空间A和空间B的压力达到一致,此时空间B的烟气就可能侵入到空间A处。

为确保空间B的烟气不能进入到空间A,其加压送风系统的设计原则为:

1.利用加压送风机将室外的新鲜空气均匀地输送到需加压的空间A内;

2.确保加压空间A与相邻空间B之间存在有一定的漏风通道,以保证加压空间内的压力高于相邻空间的压力;

3.利用机械排烟系统或自然排烟系统,确保非加压空间B的空气和烟气能够顺利地排到建筑物外。

(二)设计步骤及条件

1.根据《高层民用建筑设计防火规范》要求,确定需设置加压送风的部位。

2.确定加压送风系统的加压值(一般为50Pa)。

3.计算加压空间(疏散通道)的漏风面积。

4.计算加压空间在关门条件下的加压送风量。

5.根据加压送风的部位,确定在开门条件下门的断面风速要求:

(1)仅楼梯间加压送风时,开启门的断面风速不小于0.7m/s;

(2)当楼梯间和前室分别加压送风时,应同时满足:当楼梯间至前室的门及前室至走道的门均开启时,通过其中任何一道门的断面风速不小于0.7m/s;当楼梯间至前室的门关闭,前室至走道的门开启时,通过前室至走道门的断面风速不小于0.5m/s,或维持楼梯间内的压力大于45Pa。

6.验证开门时的门断面风速。

7.若不能满足开门时门断面风速要求,应调整送风量以满足开门时断面风速的要求。

8.确定建筑物周边漏风面积,计算排风量。

9.根据加压送风量计算加压送风系统的管路断面尺寸。

10.确定加压送风机。

(三)计算方法

1.查表法

需设置加压送风系统空间的加压送风量见表3-2-26~3-2-29。

表3-2-26 防烟楼梯间(前室不送风)的加压送风量

❷ 加压空间的空气以并联方式渗漏(见图3-2-30),总漏风面积为

A=A1+A2+A3

根据对实际建筑物门的安装尺寸测量,常用的四种类型门的实际漏风面积见表3-2-30。

表3-2-30 四种常用类型门的实际漏风面积

a.当建筑物层数n≤10时,可认为向楼梯间内的加压送风量在门开启时全部由门的洞口排出,故通过开启门的断面风速为

式中:vSA——门开启时,通过门的断面风速(m/s);

Q——对加压空间提供的送风量(m3/s);

F——门的有效断面面积(m2),门的断面面积均按单扇门考虑,双扇门认为开启一半;

0.6——加压空气排出阻挡系数。

b.当建筑物层数n≥10时,除考虑开启的门外,还应考虑其他的渗漏面积,故通过开启门的断面风速为

式中:A——除开启门的断面面积外其他漏风面积之和(m2)

S——建筑物层数。

❷ 楼梯间和合用前室分别加压送风时(图3-2-31):

a.通过楼梯间至合用前室门的断面风速为

式中:vSL——通过合用前室门的断面风速(m/s);

FSL——楼梯间至前室门的断面面积(m2),门的断面面积均按单扇门考虑,双扇门认为开启一半(m2);

QSL——通过合用前室门的风量(m3/s):

QsL=QS+Q′S

式中:QS——加压送风系统对楼梯间提供的送风量(m3/s);

Q′s——其他层加压前室通过合用前室门进入到楼梯间的风量(m3/s)

式中:QL——每个前室的加压送风量(m3/s);

AD—楼梯间至前室门的漏风面积(m2);

AL——前室至走道的漏风面积(m2);

Ad——电梯门的漏风面积(m2);

n——加压前室的数量(层数);

m——电梯竖井的数量;

R——电梯竖井加压空气排放系数,见表3-2-31。

表3-2-31 电梯竖井加压空气排放系数

b.通过合用前室走道门的断面风速为

式中:vLA——通过合用前室走道门的断面风速(m/s);

QLA——通过合用前室走道门的风量(m3/s);

QLA=QL+QSL+Q′L

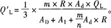
Q′L——其他加压前室通过电梯门进入到前室的风量(m3/s):

FLA——开启前室至楼梯间门的断面面积(m2),门的断面面积均按单扇门考虑,双扇门认为开启一半。

随便看

 

离鸟网收录3541549条中英文词条,其功能与新华字典、现代汉语词典、牛津高阶英汉词典等各类中英文词典类似,基本涵盖了全部常用中英文字词句的读音、释义及用法,是语言学习和写作的有利工具。

 

Copyright © 2004-2024 vtrois.com All Rights Reserved
更新时间:2026/4/19 5:18:36