网站首页  词典首页


请输入您要查询的字词:

 

字词 韦达定理
类别 中英文字词句释义及详细解析
释义
韦达定理

韦达定理weida dingli

指一元n次方程的根与系数的关系.它是由法国数学家韦达提出来的.
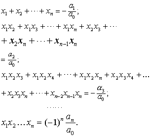
定理:若一元n次方程
a0xn+a1xn-1+…+an-1x+an=0

(a0≠0)


的根是x1,x2,…,xn.则有


初中代数课本中所叙述的一元二次方程的根和系数的关系,就是上述定理当n=2时的特殊情况.
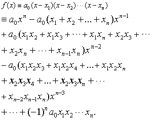
韦达定理的证明是以“一元n次方程在复数集里有且仅有n个根”这一重要定理为基础的,设一元n次方程

f(x)=a0xn+a1xn-1+…+an-1x+an=0(a0≠0)

的n个根为x1,x2,…,xn.则多项式

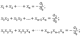
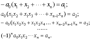
根据多项式恒等的条件,可得

因为a0≠0, 所以得

韦达定理的逆定理成立.
☚ 代数基本定理   实系数一元方程虚根成对定理 ☛

韦达定理

关于代数方程根与系数关系的定理。二次方程ax2+bx+c=0的韦达定理是:方程的根x1、x2与系数的关系为x1+x2=-b/a和x1x2=c/a。对于n次方程也有相应的定理。

随便看

 

离鸟网收录3541549条中英文词条,其功能与新华字典、现代汉语词典、牛津高阶英汉词典等各类中英文词典类似,基本涵盖了全部常用中英文字词句的读音、释义及用法,是语言学习和写作的有利工具。

 

Copyright © 2004-2024 vtrois.com All Rights Reserved
更新时间:2026/4/19 10:34:07