网站首页  词典首页


请输入您要查询的字词:

 

字词 非线性规划、库恩-塔克定理
类别 中英文字词句释义及详细解析
释义
非线性规划、库恩-塔克定理

非线性规划、库恩-塔克定理nonlinear programming,Kuhn-Tucker theorem

非线性规划是在约束gi(x1,x2,…,xn)≦bi(i=1,…,m)之下,求x=(x1,x2,…,xn)使目标函数f(x1,x2,…,xn)最大化的问题,其中gi和f中至少有一个不是线性函数,而且gi和f均一次连续可微。
如果所有的约束都是等式,即gi(x1,…,xn)=bi,(i=1,…,m),则可用拉格朗日(Lagrange)乘数法求解。构造拉格朗日函数(x1,…,xn),λ=(λ1,…,λm)。f(x)在x*取最大值的必要条件将是∂L(x,λ)/∂xj|x*=0,(j=1,…,n)。可解这个方程组求出x*
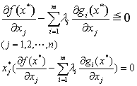
如果约束不全为等式,而且从经济意义考虑要求xj(j=1,…,n)为非负,则有如下的库恩-塔克定理:如果gi(x)(i=1,…,m)满足约束品性条件,则在gi(x)≦bi(i=1,…,m)和xj≧0(j=1,…,n)的约束下,f(x)在x*取最大值的必要条件是存在λ12,…,λm满足:


xj≧0 (j=1,2,…,n)


约束品性条件有好几种形式,其中之一是斯拉特(Slater)条件,它要求存在一个点x°≧0,满足gi(x°)i(i=1,2,…,m),即在x°处所有约束均是严格的不等式。
可以证明,x*和λ1,…,λm满足关系λi=∂f(x*)/∂bi,(i=1,2,…,m)。如果把x看成生产活动水平,gi(x)是第i种资源的消费量,bi是它的最大可能利用量(资源存量),目标函数f(x)是对应于活动水平x的收益,则λi就是第i种资源存量增加一单位时最大收益的增量,因此λi就是第i种资源的影子价格。
参见“影子价格”。
☚ 影子价格   投入产出分析 ☛
00000671
随便看

 

离鸟网收录3541549条中英文词条,其功能与新华字典、现代汉语词典、牛津高阶英汉词典等各类中英文词典类似,基本涵盖了全部常用中英文字词句的读音、释义及用法,是语言学习和写作的有利工具。

 

Copyright © 2004-2024 vtrois.com All Rights Reserved
更新时间:2026/4/19 12:19:40