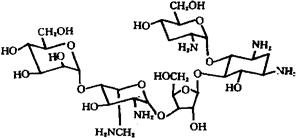
力维霉素[中]
C29H55N5O18=761.78 CAS-36441-41-5 O-2-氨基-2,3-二脱氧-α-D-核糖-己吡喃糖基-(1→4)-O-[O-α-D-甘露吡喃糖基-(1→4)-O-2,6-二氨基-2,6-二脱氧-β-L-艾杜吡喃糖基-(1→3)-β-D-核呋喃糖基-(1→5)]-2-脱氧-D-链霉胺。 O-2-Amino-2,3-dideoxy-α-D-ribo-hexopyranosyl-(1→4)-O-[O-α-D-mannopyranosyl-(1→4)-O-2,6-diamino-2,6-dideoxy-β-L-idopyrnosyl-(1→3)-β-D-ribofuranosyl-(1→5)]-2-deoxy-D-streptamine. 抗生素类药。 利维霉素,青紫霉素。 Lividomycin. INN,DCF,USAN.  |