网站首页  词典首页


请输入您要查询的字词:

 

字词 力的分解方法
类别 中英文字词句释义及详细解析
释义 力的分解方法

1.从数学上知,同一对角线可对应无数个平行四边形,所以,对于一个力,从理论上说,可有无数组解.

(1)已知两个分力的方向,求分力.

将力F分解为沿OA、OB两个方向的分力时,可以从F的矢端分别作OA和OB的平行线,即可得到两个分力F1和F2如图1所示

(2)已知一个分力的大小和方向,求另一个分力.

已知合力F和其中一个分力F1的大小和方向时,先连接F和F1的矢端,再过O点作射线OA与之平行,然后过合力F的矢端作分力F1的平行线与OA相交,即得到另一个分力F2,如图2所示.

(3)已知一个分力的方向和另一个分力的大小.

已知合力F、分力F1的方向OA及另一个分力F2的大小时,先以合力F的矢端为圆心,以F2的大小长为半径画圆,交OA,若有两个交点,则有两个解,若有一个交点,则有一个解,若没有交点则没有解,如图3所示.

2.按力的作用效果分解:力的分解具有实际意义的是按力的效果分解.即进行分解时,先根据力的实际作用效果,确定分力的方向,再根据平行四边形法则求出分力的大小.

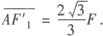
例 把一个已知力F分解,要求其一个分力F1跟F成30°角,而大小未知;另一个分力但方向未知,则F1的大小可能是( ).

分析 将平行四边形定则演变、简化成三角形定则,利用三角形知识求解力的合成与分解问题.

由平行四边形定则可知,把分力F2平行移到对边位置,则分力F1、F2与合F构成一个三角形,利用三角形知识可方便求解.

,由图可知,F1的大小有两个可能值.

在直角△OAF,

答 A、D

随便看

 

离鸟网收录3541549条中英文词条,其功能与新华字典、现代汉语词典、牛津高阶英汉词典等各类中英文词典类似,基本涵盖了全部常用中英文字词句的读音、释义及用法,是语言学习和写作的有利工具。

 

Copyright © 2004-2024 vtrois.com All Rights Reserved
更新时间:2026/4/17 21:58:23