剪切强度的测定
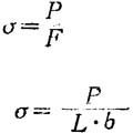
剪切强度主要表示粘接试样胶层受切线应力时单位面积上的最大破坏负荷。对塑料自身粘接及它们与金属等粘接剪切强度,按HGZ-151-65标准进行。HGZ-151-65中塑料做单面拉伸剪切强度,其试样如图4-10所示,塑料做双面压缩剪切试验,试样如图4-11所示。 对单面拉伸剪切试样,厚度d为2±0.1~3±0.1mm时,L=15mm;d>3±0.1~5±0.1mm时,L=20mm。 对双面压缩剪切试样厚度不小于10mm,L=20mm。 单面拉伸试样的剪切强度σs(MPa)按下式计算: 剪切强度计算公式:  式中 δ——拉伸剪切强度(MPa) P——破坏负荷(N) F——试样粘接面积(cm2) F=a.b a——实际搭接长度(cm,精度至0.1cm) b——实际胶缝宽度(cm,精度至0.1cm) 试验温度为20±2℃,测试速度为100±10mm/min。 |