网站首页  词典首页


请输入您要查询的字词:

 

字词 需求收入弹性
类别 中英文字词句释义及详细解析
释义

需求收入弹性

测量需求量变动比率对收入变动比率的反应程度的一个概念。如果以Ey表示需求收入弹性系数,以Q、Y分别表示需求量和收入量,以△Q、△Y分别表示需求的变动量和收入的变动量,则需求收入弹性大小可按下式测量:

由于需求量和收入成同方向变动,所以需求收入弹性系数一般为正值。

需求收入弹性

衡量消费者由于收入的变化引取产品需求变化的程度。用收入弹性系数E1表示。对不同的产品,收入弹性系数也是不同的。即使同一产品,其收入弹性系数亦可因收入阶层和地区的不同而异。因此,收集不同地区不同收入阶层的平均收入水平,分析起来比较正确。从国家的统计数字可以分析出按人口平均收入每增加1%时,对某些消费品的消费量增长的百分比。如果从多年的统计中其增长百分比变化不太大,则可以用此系数来估算未来年份收入的变化对该消费品数量的需求。E1可用下式计算:

式中: E——该产品的收入弹性,当E>1时,表示有弹性;当E<1时,表示无弹性;
Q1——基础年份的需求量;
Q2——后来观察年份的需求量;
IP1——基础年份按人口的平均收入;
IP2——后来观察年份按人口的平均收入。

需求收入弹性Income Elasticity of Demand

消费者收入水平的变动率与它所引起的商品或劳务需求量的变动率的比率,它表示的是该水平或劳务的需求量对于收入变动的反应程度。用公式表示为:

式中,Em表示需求的收入弹性,M和ΔM分别表示收入和收入的变动量,Q和ΔQ分别表示需求和需求的变动量。根据商品或劳务的Em是大于、还是小于0,可将商品分为正常品和低档品两大类。其中,正常品是随着人们收入的提高而增加对它的需求量; 低档品则反之。在正常品中,又可根据Em是否大于1而将商品分为必需品和奢侈品两类。必需品的Em小于1 (但大于0),表明当收入发生变动时,需求量的变动较小,即该商品对收入变动较不敏感; 奢侈品的Em则大于1,表明当收入发生变动时,需求量的变动较大,即该商品对收入变动十分敏感。

需求收入弹性

当消费者的收入水平变化1%时,对某种商品需求量变化的百分数。它测度的是某种商品的需求量对收入水平的变化作出反应的敏感程度。参见“需求弹性”。

需求收入弹性

需求收入弹性Income Elasticity of Demand

因收入变动而引起的需求的相应的变动率。它反映需求量的变化对收入变动的敏感程度。收入弹性的大小,通常用收入弹性的弹性系数来表示,公式如下:

收入弹性系数大于1,说明该种商品是奢侈品,人们对该种商品购买的增加百分比,大于人们收入的增加百分比,收入弹性系数大于零小于1,说明该种商品是必需品,人们对该种商品购买的增加百分比小于人们收入的增加百分比;收入弹性系数是负值的话,说明该种商品是低等品,人们收入增加后反而减少了对该种商品的购买。
☚ 需求价格弹性   需求交叉弹性 ☛
需求收入弹性

需求收入弹性Income Elasticity to Demand

消费者收入的变动率与它所引起的对产品或劳务需求量变动率的比率。用公式表示为:


其中,Em代表需求收入弹性,M表示收入,Q表示需求量。需求收入弹性可以用来度量需求量对收入变动所作反应的程度。一般说来,生活必需品的需求收入弹性小,非生活必需品(奢侈品等)的需求收入弹性大。但是,有些低价商品,如粗粮,其需求量往往随着收入的增加而减少,故所求弹性也会为负数。
☚ 弹性   需求价格弹性 ☛
需求收入弹性

需求收入弹性Income Elasticity of Demand

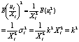
在其他条件不变的情况下,商品需求量的相对变化率与消费者收入的相对变化率的比率。它度量消费者收入的变动对商品需求量影响的程度。计算公式为:

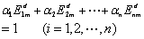
式中,Eimd为需求收入弹性,xi为商品i的需求量,m是消费者收入。可以根据需求量对收入变动的敏感程度和变动方向,将商品分为正常商品和劣等商品。(1)当Eimd>0时,i是正常商品。若0imd<1时,i是必需商品;Eimd>1时,i是奢侈品;若Eimd=1,则商品i的需求量相对变化幅度与收入相对变动幅度相等。(2)当Eimd<0时,i是劣等商品。其中若其需求自价格弹性Eiid>0,表明i同时是吉芬商品。(3)当Eimd=0时,表明商品i的需求量与收入无关,不管收入如何变动,需求量始终不变。消费者购买n种商品的收入弹性满足恩格尔(E.Engel)总体条件:

其中,αi=pixi/m表示对商品i的支出占收入的份额。它表明n种商品的需求收入弹性以ai为权数的加权平均值等于1。
最早进行需求收入弹性研究的是德国统计学家恩格尔(E.Engel)。他根据统计资料得出,食物的需求收入弹性很低;而娱乐、医疗和其他奢侈品的收入弹性大于1。他发现随着收入增加,食物在家庭生活开支中所占比重将逐渐降低。这就是后来以他的姓命名的恩格尔定律。需求收入弹性对于国家制定价格政策和工资政策乃至组织商品买卖,都具有一定的参考价值。对厂商经营决策,同样也有帮助。
〖参〗需求弹性
☚ 需求自价格弹性   需求交叉弹性 ☛
需求收入弹性

需求收入弹性

衡量收入变动对商品需求量或购买量的影响程度。市场对于商品需求量的大小,除受价格变动影响外,还受劳动者的货币收入多少的影响。在商品价格一定的情况下,劳动者的货币收入多了,社会对商品的需求则增加,反之,则减少。如用公式计算则为:


Em—需求收入弹性(或称需求收入弹性系数); Q—需求量;△Q—需求变动量;m—收入量; △m—收入变动量;△Q/Q—需求量的相对变动;△m/m—收入量的相对变动。
计算结果:如Em>1,说明需求收入弹性较大;Em=1或大于0小于1,说明弹性较小;Em=0说明无弹性; Em=∞,说明有完全的弹性或有无穷大的弹性。一般说来,必需品的需求收入弹性小,奢侈品和高档品的弹性大。
☚ 需求价格弹性   居民消费品购买力 ☛
需求收入弹性

需求收入弹性income elasticity of demand

一个商品需求量的变化百分数除以消费者收入变化的百分数,需求函数中所有其他变量保持不变。
对大多数商品来说,它的需求收入弹性为正值,即随着消费者收入的增加而增加对商品的需求;这类商品称做正常商品,其中必需品其需求收入弹性一般在0与1之间。奢侈品的需求收入弹性则往往大于1。另有一些廉价商品,消费者收入增加时会少用它们,称为“低档品”(inferiov goods)其需求收入弹性为负值。

☚ 弹性区间与非弹性区间   广告弹性与交叉广告弹性 ☛
需求收入弹性

需求收入弹性

因收入变动而引起需求的相应变动率。反映需求量的变动对收入变动的敏感程度。公式为:

由于收入与需求量二者成正比关系,即收入增加时,需求一般也会增加,所以比值为正数。这一正的比值表明: 当收入上升1%时,需求量所增加的百分比;或当收入下降1%时,需求量所下降的百分比。
☚ 市场需求   需求层次论 ☛
00006250
随便看

 

离鸟网收录3541549条中英文词条,其功能与新华字典、现代汉语词典、牛津高阶英汉词典等各类中英文词典类似,基本涵盖了全部常用中英文字词句的读音、释义及用法,是语言学习和写作的有利工具。

 

Copyright © 2004-2024 vtrois.com All Rights Reserved
更新时间:2026/4/17 23:00:44