网站首页  词典首页


请输入您要查询的字词:

 

字词 制霉菌素[典]
类别 中英文字词句释义及详细解析
释义 制霉菌素[典]

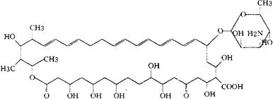
C47H75NO17=926.11

CAS-1400-61-9

是-种抗真菌的多聚烯混合物,含大量成分制霉菌素A。

A Mixture of antifungal polyenesit consists largely of nystatin A.

19-(3-氨基-3,6-二去氧-β-D-吡喃甘露糖基氧)-16-羧基-3,5,7,10,11,15,17,35-八羟-34,36-二甲基4,36-二甲基-13-氧代-三十八烷-20,22,24,26,30,32-己烯-37-内酯。

19-(3-Amino-3,6-dideoxy-β-D-mannopyranosyloxy)-16-carboxy-3,5,7,10,11,15,17,35-octahydroxy-34,36-dimethyl-13-oxo-octatriaconta-20,22,24,26,30,32-hexaen-37-olide.

抗霉菌药。用于白色念珠菌等真菌的皮肤粘膜及肠道感染。

制霉素耐丝菌素(台)。

Nystatin,Nilstat,Nystex,Mycostatin,O-V-statin,Diastatin Fungicidin,Nilstat,Nistacin,Nystan.

制霉菌素片,耐丝菌素锭,制霉菌素软膏,制霉菌素栓。

INN,BAN,BP,DCF,FP,GDP,IP,JP,NFN,PH,USAN,USP,MI.

随便看

 

离鸟网收录3541549条中英文词条,其功能与新华字典、现代汉语词典、牛津高阶英汉词典等各类中英文词典类似,基本涵盖了全部常用中英文字词句的读音、释义及用法,是语言学习和写作的有利工具。

 

Copyright © 2004-2024 vtrois.com All Rights Reserved
更新时间:2026/4/19 1:41:48