网站首页  词典首页


请输入您要查询的字词:

 

字词 利诺格列
类别 中英文字词句释义及详细解析
释义 利诺格列

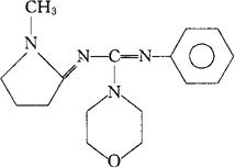
C16H22N4O=286.38

CAS-75358-37-1

N-(1-甲基-2-吡咯烷亚基)-N′-苯基-4-吗啉甲酰亚胺基胺。

N-(1-Methyl-2-pyrrolidinylidene)-N′-phenyl-4-morpholinecarboximidamide.

N-(1-甲基-2-吡咯烷基亚基)-N′-苯基-4-吗啉甲脒。

N-(1-Methyl-2-pyrrolidinylidene)-N′-phenyl-4-morpholinecarboxamidine.

降血糖药。

Linogliride,McN 3935.

INN,USAN.

随便看

 

离鸟网收录3541549条中英文词条,其功能与新华字典、现代汉语词典、牛津高阶英汉词典等各类中英文词典类似,基本涵盖了全部常用中英文字词句的读音、释义及用法,是语言学习和写作的有利工具。

 

Copyright © 2004-2024 vtrois.com All Rights Reserved
更新时间:2026/4/17 17:03:45