网站首页  词典首页


请输入您要查询的字词:

 

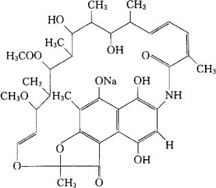
字词 利福霉素钠
类别 中英文字词句释义及详细解析
释义 利福霉素钠

C37H46NNaO12=719.76

CAS-14897-39-3

[12Z,14E,24E]-[2S,16S,17S,18R,19R,20R,21S,22R,23S]-21-乙酰氧6,9,17,19-四羟-23-甲氧-2,4,12,16,18,20,22-七甲基-1,11-二氧代-2,7-(十五碳环氧-[1,11,13]三烯亚胺基)萘并[2.1-6]呋喃-5-酚酸的钠盐。

[12Z,14E,24E]-[2S,16S,17S,18R,19R,20R,21S,22R,23S]-21-Acetoxy-6,9,17,19-tetrahydroxy-23-methoxy-2,4,12,16,18,20,22-heptamethyl-1,11-dioxo-2,7-(epoxypentadeca-[1,11,13]trienimino)naphtho[2,1-6]furan-5-olate sodium salt.

抗生素类药。用于固紫染色阳性球菌的感染、耐药的金黄色葡萄球菌感染、胆道感染等。

力复霉素,力复霉素SV钠。

Rifamycin SV Sodium,Rifamycin Sodium,Rifocin,Chibro-Rifamycin.

力复霉素钠注射液。

BP,MI.

随便看

 

离鸟网收录3541549条中英文词条,其功能与新华字典、现代汉语词典、牛津高阶英汉词典等各类中英文词典类似,基本涵盖了全部常用中英文字词句的读音、释义及用法,是语言学习和写作的有利工具。

 

Copyright © 2004-2024 vtrois.com All Rights Reserved
更新时间:2026/4/18 10:38:44