网站首页  词典首页


请输入您要查询的字词:

 

字词 利福霉素
类别 中英文字词句释义及详细解析
释义 利福霉素

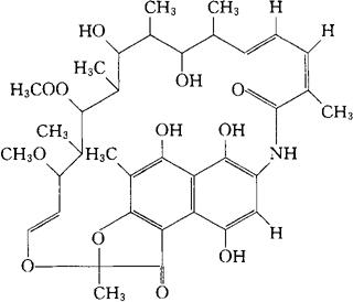
C37H47NO12=697.78

CAS-6998-60-3

为多组分混合物。

5,6,9,17,19,21-六羟-23-甲氧-2,4,12,16,18,20,22-七甲基-2,7-(环氧十五碳[1,11,13]-三烯亚胺基)萘并-[2,1-b]-呋喃-1,11[2H]-二酮-21-醋酸酯。

5,6,9,17,19,21-Hexahydroxy-23-methoxy-2,4,12,16,18,20,22-heptamethyl-2,7-(epoxypentadeca[1,11,13]trienimino)naphtho[2,1-b]furan-1,11[2H]-dione-21-acetate.

抗生素类药。用于革兰氏阳性球菌的感染、耐药金黄色葡萄球菌的感染、胆道感染等。

力复霉素,利福霉素SV。

Rifamycin,Rifamycin SV,Rifomycin SV,Rifamicin SV.

利福霉素注射液。

INN,BAN,BP,DCF,EP,FP,NFN,USAN,MI.

随便看

 

离鸟网收录3541549条中英文词条,其功能与新华字典、现代汉语词典、牛津高阶英汉词典等各类中英文词典类似,基本涵盖了全部常用中英文字词句的读音、释义及用法,是语言学习和写作的有利工具。

 

Copyright © 2004-2024 vtrois.com All Rights Reserved
更新时间:2026/4/18 7:50:44