网站首页  词典首页


请输入您要查询的字词:

 

字词 利福美坦
类别 中英文字词句释义及详细解析
释义 利福美坦

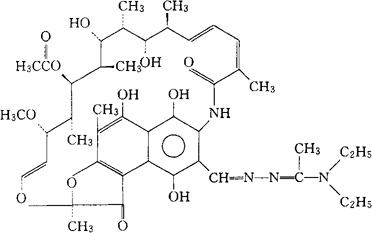
C44H60N4O12=836.98

CAS-94168-98-6

3-[[[1-(二乙氨基)亚乙基]亚肼基]甲基]利福霉素。

3-[[[1-(Diethylamino)ethylidene]hydrazono]methyl]rifamycin.

(2S,12Z,14E,16S,17S,18R,19R,20R,21S,22S,23S,24E)-1,2-二氢-5,6,9,17,19,21-六羟-23-甲氧-2,4,12,16,18,20,22-七甲基-1,11-二氧代,7-(环氧十五碳[1,11,13]三烯亚氨基)-萘并[2,1-b]呋喃-8-羧基乙醛,8-吖嗪与N,N-二乙基乙酰胺,21-醋酸盐。

(2S,12Z,14E,16S,17S,18R,19R,20R,21S,22S,23S,24E)-1,2-Dihydro-5,6,9,17,19,21-hexahydroxy-23-methoxy-2,4,12,16,18,20,22-heptamethyl-1,11-dioxo-2,7-(epoxypentadeca[1,11,13]-trienimino)naphtho[2,1-b]furan-8-carboxyaldehyde,8-azine with N,N-diethylacetamide,21-acetate.

抗生素类药。

Rifametane,SPA-S-565.

INN,USAN.

随便看

 

离鸟网收录3541549条中英文词条,其功能与新华字典、现代汉语词典、牛津高阶英汉词典等各类中英文词典类似,基本涵盖了全部常用中英文字词句的读音、释义及用法,是语言学习和写作的有利工具。

 

Copyright © 2004-2024 vtrois.com All Rights Reserved
更新时间:2026/4/18 6:37:30