网站首页  词典首页


请输入您要查询的字词:

 

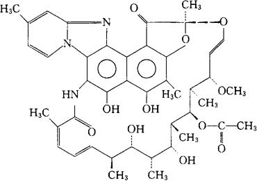
字词 利福昔明
类别 中英文字词句释义及详细解析
释义 利福昔明

C43H51N3O11-785.89

CAS-80621-81-4

(2S,16Z,18E,20S,21S,22R,23R,24R,25S,26S,27S,28E)-5,6,21,23,25-五羟-27-甲氧-2,4,11,16,20,22,24,26-八甲基-2,7-(环氧十五碳[1,11,13]三烯亚氨基)苯并糠基并[4,5-e]吡啶并[1,2-a]苯并咪唑-1,15(2H)-二酮,25-醋酸盐。

(2S,16Z,18E,20S,21S,22R,23R,24R,25S,26S,27S,28E)-5,6,21,23,25-Pentahydroxy-27-methoxy-2,4,11,16,20,22,24,26-octamethyl-2,7-(epoxypentadeca[1,11,13]trienimino)benzofuro[4,5-e]pyrido[1,2-a]benzimidazole-1,15(2H)-dione,25-acetate.

25-(乙酰氧)-5,6,21,23-四羟-27-甲氧-2,4,11,16,20,22,24,26-八甲基-2,7-(环氧十五碳[1,11,13]三烯亚氨基)苯并糠基[4,5-e]吡啶并[1,2-a]苯并咪唑-1,15(2H)-二酮。

25-(Acetyloxy)-5,6,21,23-tetrahydroxy-27-methoxy-2,4,11,16,20,22,24,26-octamethyl-2,7-(epoxypentadeca[1,11,13]trienimino)benzofuro[4,5-e]pyrido[1,2-a]benzimidazole-1,15(2H)-dione.

抗菌药。

Rifaximin,Normix,Rifaxidin,α-0817185,L 105.

INN,USAN.

随便看

 

离鸟网收录3541549条中英文词条,其功能与新华字典、现代汉语词典、牛津高阶英汉词典等各类中英文词典类似,基本涵盖了全部常用中英文字词句的读音、释义及用法,是语言学习和写作的有利工具。

 

Copyright © 2004-2024 vtrois.com All Rights Reserved
更新时间:2026/4/17 19:44:17