网站首页  词典首页


请输入您要查询的字词:

 

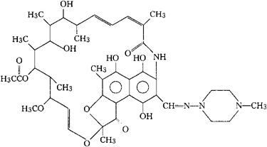
字词 利福平[典]
类别 中英文字词句释义及详细解析
释义 利福平[典]

C43H58N4O12=822.94

CAS-13292-46-1

3-[[(4-甲基-1-哌嗪基)亚氨基]甲基]利福霉素。

3-[[(4-Methyl-1-piperazinyl)imino]methyl]rifamycin.

抗生素类药。用于结核杆菌、麻风杆菌、金黄色葡萄球菌的感染,也可用于厌氧菌感染。

甲哌利福霉素,力复平,甲哌力复霉素。

Rifampin,Rifampicina,Rifadin.

利福平片(甲哌利福霉素片),利福平胶囊(甲哌利福霉素胶囊),利福平眼药水。

INN,BAN,BP,DCF,DCIT,EP,JAN,NFN,USAN,USP,MI.

随便看

 

离鸟网收录3541549条中英文词条,其功能与新华字典、现代汉语词典、牛津高阶英汉词典等各类中英文词典类似,基本涵盖了全部常用中英文字词句的读音、释义及用法,是语言学习和写作的有利工具。

 

Copyright © 2004-2024 vtrois.com All Rights Reserved
更新时间:2026/4/17 20:03:34