利福布丁
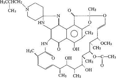
C46H62N4O11=847.02 CAS-72559-06-9 (9S,12E,14S,15R,16S,17R,18R,19R,20S,21S,22E,24Z)-6,16,18,20-四羟-1′-异丁基-14-甲氧-7,9,15,17,19,21,25-六甲基-螺[9,4-(环氧十五碳[1,11,13]三烯亚氨基)-2H-糠基[2′,3′∶7,8]萘并[1,2-d]咪唑-2,4′-哌啶]-5,10,26-(3H,9H)-三酮-16-醋酸盐。 (9S,12E,14S,15R,16S,17R,18R,19R,20S,21S,22E,24Z)-6,16,18,20-Tetrahydroxy-1′-isobutyl14-methoxy-7,9,15,17,19,21,25-heptamethylspiro[9,4-(epoxypentadeca[1,11,13]trienimino)-2H-furo[2′,3′∶7,8]naphth[1,2-d]imidazole-2,4′-piperidine]-5,10,26-(3H,9H)-trione-16-acetate. 1′-4-二去氢-1-去氧-1,4-二氢-5′-(2-甲基丙基)-1-氧代利福霉素。 1′-4-Didehydro-1-deoxy-1,4-dihydro-5′-(2-methylpropyl)-1-oxorifamycin. 抗生素类药。 Rifabbutin,LM 427. HNN,USAN. 
|