利波腺苷
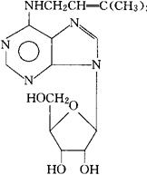
C15H21N5O4=335.36 CAS-7724-76-7 N-(3-甲基-2-丁烯基)腺苷。 N-(3-Methyl-2-butenyl)adenosine. 6N-[(3-甲基-2-丁烯基)氨基]-9-β-D-呋喃核糖基-9H-嘌呤。 6N-[(3-Methyl-2-butenyl)amino]-9-β-D-ribofuranosyl-9H-purine. 6-N-(γ,γ-二甲基烯丙基)腺苷。 6-N-(γ,γ-Dimethylallyl)adenosine. 抗肿瘤药。 Riboprine,IPA,NSC-105546. INN,USAN. 
|