网站首页  词典首页


请输入您要查询的字词:

 

字词 利巴韦林[中]
类别 中英文字词句释义及详细解析
释义 利巴韦林[中]

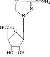
C8H12N4O5=244.21

CAS-36791-04-5

1-β-D-呋喃核糖基-1H-1,2,4-三氮唑-3-甲酰胺。

1-β-D-Ribofuranosyl-1H-1,2,4-triazole-3-carboxamide.

抗病毒药。主要用于单疱性角膜炎、牛痘苗性角膜炎、急性流行性结膜炎、流行性感冒、口腔疱疹及其他病毒性疾病。

三氮唑核苷,病毒唑,酰胺三唑核苷,三唑核苷。

Virazole,Tribavirin,Ribavirin,RTC.

三氮唑核苷含片,三氮唑核苷注射液,三氮唑核苷眼药水,三氮唑核苷眼膏,三氮唑核苷滴鼻液。

INN,BAN,USAN.

随便看

 

离鸟网收录3541549条中英文词条,其功能与新华字典、现代汉语词典、牛津高阶英汉词典等各类中英文词典类似,基本涵盖了全部常用中英文字词句的读音、释义及用法,是语言学习和写作的有利工具。

 

Copyright © 2004-2024 vtrois.com All Rights Reserved
更新时间:2026/4/18 9:22:26