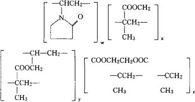
利多非康A
(C6H9NO)w(C5H8O2)x(C7H10O2)y(C10H14O4)z CAS-56551-60-1 1-乙烯基-2-吡咯烷酮,与甲基2-甲基-2-丙烯酸盐,2-丙烯基2-甲基-2-丙烯酸盐和1,2-乙烷二基双(2-甲基-2-丙烯酸盐的聚合物。 1-Ethenyl-2-pyrrolidinone,polymer with methyl 2-methyl-2-propenoate,2-propenyl 2-methyl-2-propenoate and 1,2-ethanediyl bis(2-methyl-2-propenoate). 1-烯乙基-2-吡咯烷酮与甲基异丁烯酸盐,烯丙基异丁烯酸盐和乙烯二异丁烯酸盐的聚合物。 1-Vinyl-2-pyrrolidinone polymer with methyl methacrylate,allyl methacrylate and ethylene dimethacrylate. 隐形眼镜材料(亲水性的)。 Lidofilcon A,B&L 70,N & N 70. USAN.  |