网站首页  词典首页


请输入您要查询的字词:

 

字词 利多氟嗪[中]
类别 中英文字词句释义及详细解析
释义 利多氟嗪[中]

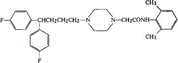
C30H35F2N3O=491.62

CAS-3416-26-0

4-[4,4-双(对氟苯基)丁基]-1-哌嗪乙酰-2′,6′-二甲苯胺。

4-[4,4-bis(p-Fluorophenyl)butyl]-1-piperazin-eaceto-2′,6′xylidide.

冠脉扩张药。

利多福心。

Corflazine,Ordiflazine,Lidoflazine,Agnex.

INN,BAN,DCF,DCIT,USAN,MI.

随便看

 

离鸟网收录3541549条中英文词条,其功能与新华字典、现代汉语词典、牛津高阶英汉词典等各类中英文词典类似,基本涵盖了全部常用中英文字词句的读音、释义及用法,是语言学习和写作的有利工具。

 

Copyright © 2004-2024 vtrois.com All Rights Reserved
更新时间:2026/4/18 20:23:01