网站首页  词典首页


请输入您要查询的字词:

 

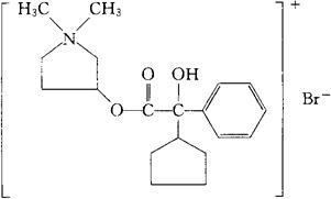
字词 利吡咯溴铵
类别 中英文字词句释义及详细解析
释义 利吡咯溴铵

C19H28BrNO3=398.34

CAS-53808-86-9

赤-3-羟-1,1-二甲基吡咯烷鎓溴化物α-环戊基扁桃酸酯。

erythro-3-Hydroxy-1,1-dimethylpyrrolidinium bromide α-cyclopentylmandelate.

抗胆碱药。

Ritropirronium Bromide.

INN,USAN.

随便看

 

离鸟网收录3541549条中英文词条,其功能与新华字典、现代汉语词典、牛津高阶英汉词典等各类中英文词典类似,基本涵盖了全部常用中英文字词句的读音、释义及用法,是语言学习和写作的有利工具。

 

Copyright © 2004-2024 vtrois.com All Rights Reserved
更新时间:2026/4/19 4:15:53