网站首页  词典首页


请输入您要查询的字词:

 

字词 阿糖胞苷
类别 中英文字词句释义及详细解析
释义

阿糖胞苷cytarabinum

又叫阿糖胞甙,系一种抗肿瘤药物。为一种作用于S期的周期特异性药物。临床适用于治疗急性白血病、恶性淋巴瘤、消化道癌、肺癌、头颈癌;对单纯疱疹病毒也有抑制作用。本品粉针剂每支50mg、100mg、500mg。静注每日1次1~3mg/kg连用8~15日;皮下注射用于维持治疗,每次1~3mg/kg,每周1~2次。用本品有胃肠道症状、骨髓抑制、发热、肝功障碍等。

阿糖胞苷

阿糖胞苷


阿糖胞苷(Ara-C)又名cytosine arabinoside,cytara-bine,cytosar,是脱氧胞核苷的抗代谢物,为治疗急性非淋巴骨髓细胞白血病最有效的药物之一。白色固体,m.p. 212~213℃,在1ml水中可溶0.4g。
Ara-C于1959年合成,它亦存在海绵中。1961年发现它对小鼠肉瘤S180和白血病L1210有抑制作用。Ara-C与常用抗肿瘤药,甲氨蝶呤、长春新碱、氮芥、环磷酰胺、氟尿嘧啶和巯基嘌呤在动物试验中未见有交叉耐药性。
Ara-C与一般抗嘌呤和抗嘧啶类的药物不同点在于分子结构的修饰在核糖部分,以阿拉伯糖代替核糖,改变了胞核苷2′ 羟基的构型。其确切的杀细胞机制尚不能肯定。Ara-C必须经一系列激酶磷酸化后才产生活性。活化型的阿糖胞苷三磷酸Ara-CTP能竞争性抑制DNA聚合酶,亦能掺入DNA和RNA,抑制新DNA链的起始和延长,使DNA的复制和修复受影响。Ara-C掺入L1210细胞DNA的量和它的细胞毒性显示直接相关性。Ara-C和Ara-CMP分别为胞苷脱氨酶和脱氧胞苷酸(dCMP)脱氨酶降解失去活性。此等酶在实体瘤中浓度高,这可能是实体瘤对阿糖胞苷不敏感的原因之一。如细胞缺少使Ara-C活化的脱氧胞核苷激酶导致对Ara-C抗药。Ara-C为特异地作用于S相的药物,对G1/S和S/G2也有阻滞作用。口服Ara-C虽有效,但在肠内很快脱氨,只有20%原药被吸收。人静注Ara-C,血药浓度的变化呈双相,快相半寿期为3~15分钟,在此时间相当部分的原药由肝脏中的脱氨酶代谢为无活性的阿糖尿苷。慢相半寿期为2小时。给药后24小时内药量的90%经肾排出,其中的90%为阿糖尿苷。药物与血浆蛋白结合力很低。连续滴注在脑脊液中的药物水平约为血浆水平的50%,可能由于在脑脊液中脱氨活性低之故。鞘内给药半寿期可长达2~11小时。临床上试以Ara-C与胞苷脱氨酶抑制剂四氢尿核苷(THU)合用,以减少药物脱氨失活而提高其疗效。
阿糖胞苷50~100mg/m2滴注1~2小时,或每日4mg/kg,滴注8小时,急性粒细胞白血病的完全缓解率为24~42%。当Ara-C与柔红霉素和硫鸟嘌呤合并,完全缓解率可提高至60~80%。
Ara-C的不良反应主要为骨髓抑制,消化道反应,偶而引起肝功能异常,鞘内给药可引起神经系统毒性。根据药代动力学和生化的研究,现试用大剂量一次给药(2~3g)阿糖胞苷,在1~3小时滴完,每12小时1次,连续6天给药方法,病人对此方案的耐受与常规量相似,但对常规量的Ara-C耐药者对高剂量能达25~70%缓解率。
环胞苷(2,2′-cyclocytidine,ancit-abine) 为Ara-C的2,2′脱水产物,不受胞苷脱氨酶影响。对其它酶亦稳定。在体内能缓慢释放Ara-C,使血液维持一定浓度。它的抗瘤谱和作用机制与Ara-C相似。临床初步试用认为并不比Ara-C优越。国内用于治疗单疱病毒和角膜炎,治疗效果较好。
Ara-C的其它衍生物 有N4-酰化Ara-C,这类衍生物可作为Ara-C的前药,Ara-C的长链羧酸衍生物如N4-十四酰、十五酰、十六酰(棕榈酰)、十八酰(软脂酰)均有较高的活性。这类化合物虽水溶性差,但脂溶性高,吸收好。作为Ara-C的前药,储存于注射部位或某组织中,逐渐释放,然后水解为Ara-C,能抵制胞苷脱氨酶的去活性作用。体内能在较长时间内维持Ara-C在一定水平。此外,5′位酰化物如金刚酰或十六酰Ara-C,及二磷酸甘油酯等亦表示了较高的活性。它的类似物2-氟阿糖胞苷和2-氮杂胞苷与母体不同,不是胞苷脱氨酶的好底物,而2-氟,5-Ⅰ阿糖胞苷可脱氨而产生活性更高的细胞毒代谢物。

N4酰化阿糖胞苷

5′酰化阿糖胞苷

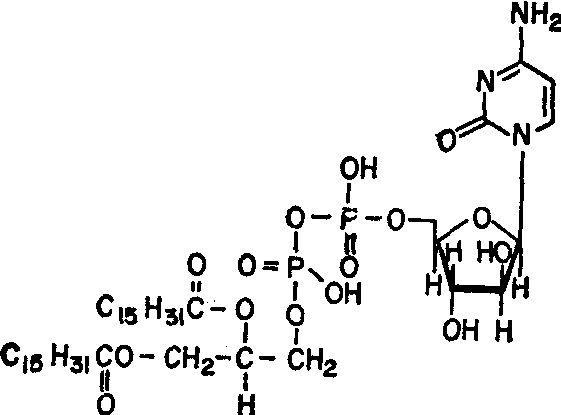
二磷酸甘油酯阿糖胞苷


胞嘧啶的类似物中5-氮杂胞苷亦在临床有效,但无突出优点,有较大的胃肠毒性,未被重视。它的二氢衍生物——二氢5-氮杂胞苷现为发展中药物。5-异胞苷为核糖接于胞嘧啶5位碳的胞苷衍生物,亦需先磷酸化成三磷酸核苷酸方能产生作用。对Ara-C抗药的瘤细胞株P815对5-异胞苷敏感。
☚ 巯嘌呤   左旋天冬酰胺酶 ☛
00005691
随便看

 

离鸟网收录3541549条中英文词条,其功能与新华字典、现代汉语词典、牛津高阶英汉词典等各类中英文词典类似,基本涵盖了全部常用中英文字词句的读音、释义及用法,是语言学习和写作的有利工具。

 

Copyright © 2004-2024 vtrois.com All Rights Reserved
更新时间:2026/4/18 11:17:29