网站首页  词典首页


请输入您要查询的字词:

 

字词 镁生理功能
类别 中英文字词句释义及详细解析
释义

镁生理功能physiological function of magnesium

镁在植物体酶促反应和生命活动过程中所起的作用。镁是许多酶的活化剂,能加速酶促反应,参与作物体内多种代谢过程,促进作物的新陈代谢。
酶的活化
Mg2+离子能与腺苷二磷酸(ADP)、腺苷三磷酸(ATP)和有机酸相螯合,为许多酶促反应所必需。镁与ATP形成的Mg·ATP螯合物(见图1)。能利用ATP酶的活性位置以转移含高能量的磷酰基。Mg 2+在ATP或ADP的焦磷酸盐和酶分子之间呈桥式结合。它对ATP酶的活化作用就是通过这种复合物所引起的。ATP酶可利用此复合物转移高能磷酰基。镁在光合作用、糖酵解和三羧酸循环等几乎所有磷酸化过程的酶促反应中起辅助因素作用。除磷酸激酶外某些脱氢酶和烯醇化酶,也受Mg2+活化。但在这些酶中,Mg2+的反应不是专性的。
在光合作用中,镁主要活化二

磷酸核酮糖(RuBP)羧化酶。NADP-3磷酸甘油醛脱氢酶和磷酸丙酮酸双激酶。RuBP羧化酶是光合作用中催化固定CO2的酶。它存在于叶绿体间质中,Mg 2+是它的活化剂。在光照条件下,叶绿体的类囊体内的镁即进入间质,使酶活化,从而促进了CO2的固定与同化。而H+从间质进入类囊体,互相交换,为RuBP羧化酶的反应提供了适宜的条件。因此,镁在CO2同化过程中起着重要的作用。
在呼吸作用的糖酵解过程中,主要参加反应的酶如磷酸葡萄糖异构酶、磷酸己糖激酶、磷酸甘油酸激酶、烯醇化酶、丙酮酸激酶等都需要镁作活化剂。缺镁时,这些酶的催化作用减弱,使糖酵解受到影响。
在三羧酸循环过程中,丙酮酸氧化酶、柠檬酸缩合酶、异柠檬酸脱氢酶、α-酮戊二酸脱氢酶、琥珀酸硫激酶等重要酶类,也需要Mg2+作活化剂。因此,镁在三羧酸循环过程中也是不可缺少的。
另外,镁还参与谷氨酰胺合成酶的活化,促进谷氨酸形成谷氨酰胺,可以调节叶绿体内氨的同化。
对光合作用的效应
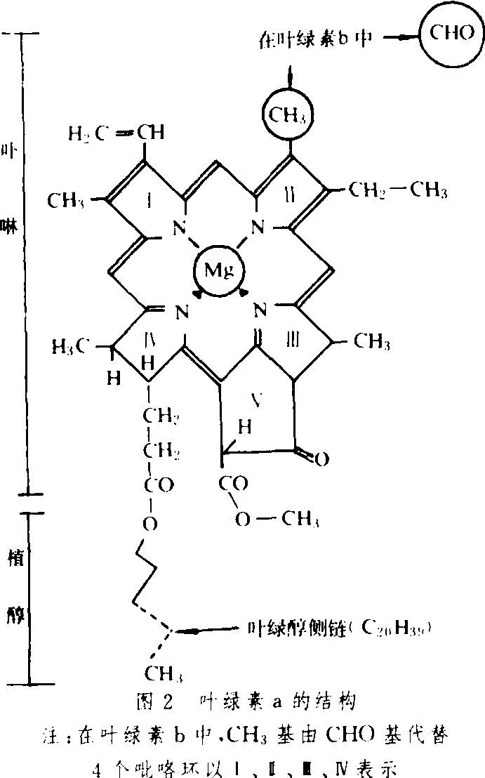
镁位于叶绿素分子结构的卟啉环的中心(图2)。植物体内镁总量中约15%~20%左右存在于叶绿素中,叶绿素分子量的2.7%为镁。光合作用中光能吸收和转化必须有叶绿素参与。
光合作用的电子传递及光合磷酸化过程都是在叶绿体的类囊体膜上进行的。Mg2+(也包括K+)在光合链中起着维持跨类囊体膜H+梯度的功能,促进光合磷酸化的进行和形成ATP。镁在还原磷酸戊糖(RPP)途径中也起重要作用。许多酶如二磷酸核酮糖(RuBP)羧化酶、果糖-1,6-二磷酸(FBP)酶和景天庚糖-1,7-二磷酸酶的活化需要Mg2+。所以Mg2+促进CO2的固定和同化。
叶绿体间质中RuBP羧化酶的最适pH为碱性,在黑暗中不具备该酶作用的适宜环境,故呈钝化态;在光照条件下,发生光合电子传递,同时叶绿体间质中的H+向类囊体转移,Mg2+则从类囊体释放到间质中,使间质中pH碱化。黑暗条件下叶绿体间质的pH约为7.0,照光后增高至8.0或更高,且间质中Mg 2+浓度也增高,形成了RuBP羧化酶作用的最适条件,使其活化,从而促进了CO2的固定和同化。



镁也是间质中果糖-1,6-二磷酸酶及景天庚糖-1,7- 二磷酸酶的活化剂。光照引起叶绿体间质中pH及Mg2+浓度的提高,也使这两种酶活化。FDP酶催化果糖-1,6- 二磷酸水解为果糖-6-磷酸,景天庚糖-1,7-二磷酸酶催化景天庚糖-1,7- 二磷酸水解为景天庚糖-7-磷酸。这两种酶的活化都促进了光合环的运转,促进光合作用。在光合环中形成的磷酸丙糖,通过叶绿体被膜的P运转器与胞质溶胶中的P1相交换,而转移到胞质溶胶,再逐步转化为蔗糖。
与植物代谢的关系

镁与碳水化合物代谢 在碳水化合物代谢中需要Mg2+作为活化剂(表1)。
Mg2+促进磷酸化作用,有利于碳水化合物的生物合成。施用镁肥能提高甘蔗、甜菜和柑橘类经济产品的含糖量。
镁与脂肪代谢 镁离子可使辅酶A、ATP和酶结合,与乙酸形成乙酰辅酶A,其酶促反应如下:



表1 Mg2+作为某些酶的活化剂


在碳水化合物代谢中的作用



乙酰辅酶A是合成脂肪酸所必需,在脂肪酶的作用下,脂肪酸与甘油合成脂肪。油料作物如大豆施用镁肥能提高籽实含油量。
镁与蛋白质代谢 镁是谷氨酰胺合成酶的活化剂,能促进谷氨酸形成谷氨酰胺。镁能活化氨基酸,将氨基酸转移到多肽链,有利于肽链的合成。此外,脱氧核糖核酸(DNA)和核糖核酸(RNA)的合成,也需要镁离子。生物体内的DNA聚合酶和RNA聚合酶需要Mg2+或Mn2+作为其活化剂。



注:d ATP为脱氧腺苷三磷酸; d CTP为脱氧胞苷三磷酸;d GTP为脱氧鸟苷三磷酸;d TTP为脱氧胸苷三磷酸;ATP为腺苷 三磷酸,简称腺三磷;CTP为胞三磷;GTP为鸟 三磷;UTP为尿三磷
镁是核糖体的结构成分,它能稳定核糖体亚单位构型。对合成蛋白质是必需的。缺镁时,核糖体亚单位趋于分解,蛋白质合成停止。一般当植物缺镁时,蛋白质态氮比例下降,而非蛋白质态氮的比例增加,可见缺镁抑制了蛋白质的合成。小麦施用镁肥能增加籽粒的蛋白质和面筋含量。
随便看

 

离鸟网收录3541549条中英文词条,其功能与新华字典、现代汉语词典、牛津高阶英汉词典等各类中英文词典类似,基本涵盖了全部常用中英文字词句的读音、释义及用法,是语言学习和写作的有利工具。

 

Copyright © 2004-2024 vtrois.com All Rights Reserved
更新时间:2026/4/19 18:44:08