网站首页  词典首页


请输入您要查询的字词:

 

字词 金融相关率
类别 中英文字词句释义及详细解析
释义

金融相关率Financial Interrelations Ratio

一定时期内社会金融活动总量与经济活动总量的比值。由美国经济学家雷蒙德·威廉·戈德史密斯提出。金融活动总量一般用金融资产总额表示。包括:
❶非金融部门发行的金融工具,如股票、债券及各种信贷凭证等;
❷金融部门(中央银行、存款银行、清算机构、保险组织和二级金融交易中介等)发行的金融工具,如通货与活期存款、居民储蓄、保险单等。

金融相关率

美国经济学家雷蒙德·W·戈德史密斯提出的分析金融结构、衡量金融深化程度的一个指标,是一定时期的金融工具(金融资产)存量与国民财富即实物(有形)资产之比,用公式表示为:

式中,Ft代表t日期上未清偿的所有金融工具的市场价值; Wt代表t日期上国民财富的市场价值; β代表国民财富净额与国民生产总值之商; γ代表实际国民生产总值增长率; π代表物价上涨率;κη代表非金融机构外部融资比率加权平均值; Φ代表各有关金融机构金融工具发行额与国民生产总值之比; λ代表分层比率,1+λ代表金融机构发行额与非金融机构发行额之比; ξ代表金融工具国外发行净额与国民生产总值的比率; θ代表敏感型金融资产在发行总额中所占比重; ψ代表金融资产价格变化。
由于按上述公式计算过于复杂,为简便起见,有时也用M2 (或M2加上股票与债券等证券资产) 作分子,以GNP作分母近似地计算FIR。
金融相关率

金融相关率financial interrelation ratio

美国经济学家雷蒙德·W·戈德史密斯提出的分析金融结构、衡量金融深化程度的一个指标,是一定时期的金融工具(金融资产)存量与国民财富即实物(有形)资产之比,用公式表示为:

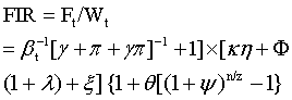
FIR=F1/W1=βt-1[(γ+π+γπ)-1+1]×[κη+φ(1+λ)+ξ]|1+θ[(1+ψ)n/z-1]|

式中,Ft代表t日期上未清偿的所有金融工具的市场价值;Wt代表t日期上国民财富的市场价值;β代表国民财富净额与国民生产总值之商;γ代表实际国民生产总值增长率;π代表物价上涨率;κη代表非金融机构外部融资比率加权平均值;φ代表各有关金融机构金融工具发行额与国民生产总值之比;λ代表分层比率,1+λ代表金融机构发行额与非金融机构发行额之比;ξ代表金融工具国外发行净额与国民生产总值的比率;θ代表敏感型金融资产在发行总额中所占比重;ψ代表金融资产价格变化。
由于按上述公式计算过于复杂,为简便起见,有时也用M2(或M2加上股票与债券等证券资产)作分子,以GNP作分母近似地计算FIR。
☚ 金融自由化   金融发展 ☛
00000392
随便看

 

离鸟网收录3541549条中英文词条,其功能与新华字典、现代汉语词典、牛津高阶英汉词典等各类中英文词典类似,基本涵盖了全部常用中英文字词句的读音、释义及用法,是语言学习和写作的有利工具。

 

Copyright © 2004-2024 vtrois.com All Rights Reserved
更新时间:2026/4/21 7:10:15