网站首页  词典首页


请输入您要查询的字词:

 

字词 重氮盐
类别 中英文字词句释义及详细解析
释义
重氮盐

重氮盐chongdanyan

较低温度下,在稀硫酸或盐酸中,芳香伯胺与亚硝酸反应生成重氮盐。



氯化重氮苯

重氮盐晶体极易爆炸,一般只制备其水溶液,让它继续发生其他反应:
❶取代反应


苯肼盐酸盐



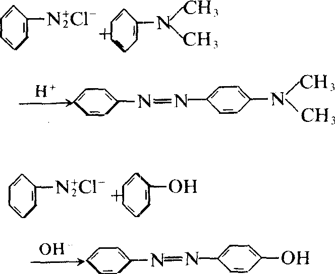
❸偶联反应 与芳香胺或酚反应生成偶氮化合物。

重氮盐在芳香族化合物的合成中有重要应用。
☚ 苯胺   偶氮化合物 ☛

重氮盐

diazonium salt

随便看

 

离鸟网收录3541549条中英文词条,其功能与新华字典、现代汉语词典、牛津高阶英汉词典等各类中英文词典类似,基本涵盖了全部常用中英文字词句的读音、释义及用法,是语言学习和写作的有利工具。

 

Copyright © 2004-2024 vtrois.com All Rights Reserved
更新时间:2026/4/21 18:40:15