网站首页  词典首页


请输入您要查询的字词:

 

字词
类别 中英文字词句释义及详细解析
释义

读音q·üan(ˊ),为üan韵目,属an—ian—uan—üan韵部。
❶有机化合物的一类,由羰基和一个烃基、一个氢原子相结合而成,如甲醛、乙醛等。

上一条: 下一条:

醛quán

含有醛基的有机化合物的统称,如甲醛、乙醛等。

一类有机化合物,由羰基和一个烃基、一个氢原子构成,重要的有甲醛、乙醛,都具有工业价值:甲~︱乙~。

醛quán

有机化合物的一类。1931年《医学名词汇编》:“Glucuronic acid,[决定名] 葡萄醛酸。”1932年11月《化学命名原则·有机化学命名原则》第一章:“含氧化合物之类名,以酉旁之字表之。例1. alcohols,醇类;aldehydes,醛类;ketones,酮类;carboxylic acids,酸类。例2. ethers,醚类;esters,酯类;acid anhydrides,酐类。例3. phenols,酚类;quinones,醌类。例4. carbohydrates,醣类。(醛读如荃,酮读如同,醚读如迷,酯读如旨,酐读如干,皆会意;酚读如分,醌读如昆,皆谐声;醣读如唐,会意。)”◇阿尔地海地,阿尔地海地即英语aldehyde(醛)之音译。

*quan

C8A9
有机化合物的一类,由羰基和一个烃基、一个氢原子结合而成。重要的有甲醛、乙醛,多用于医药及有机化合成产品。

化学物质

化学物质

吡 苄 剂(试~;杀虫~)
化合物:羰 卟 哒 羧茎 巯茎 羟茎硭硝 硇砂
有机化合物:脂 肽 膦 胂 腈 胩 肼 脲 胨 甾 腙 肟 胍 氨胺 铵 脎 烷 烯 炔 烃 脒苎 醇 酰 酚 酮 醛 醚 酯醌 酞 酶 醣 酐 嗪 砜 甙羟 莰 苯 茚 萘 菲 蒽 苷蒈 苊 鏻 鉮 凎 啶 糖 蜡噻吩 吡咯 噻唑 咔唑 吡啶 嘧啶 喹啉 吲哚 呋喃 旦白 嘌呤 哌嗪 萜烯
无机化合物:盐 矾 硝 卤 酸 碱 水 酰 铵 锈 砒霜 石膏 阴精石
一种无机化合物:丹(丹干;丹矸;丹砾;丹朱;丹沙;丹砂) 朱砂辰砂
润泽光艳的朱砂:渥赭 渥丹 渥朱
具有强烈腐蚀性的浓硝酸、浓硫酸:镪(镪水;硝镪水)
金属表面的氧化物:锈(~涩;生~)
铁锈:铁腥 铁衣
铜锈:铜华 铜花 铜青 铜毒 铜黛 铜绿

☚ 元素   自然的 ☛

醛quan

的一端与氢原子相连,而另一端烃基(或氢原子)相连的有机化合物称为醛,称醛基)当R为脂肪烃基(或氢)时称脂肪醛; 当R为芳香烃基时称芳香醛。
脂肪醛多以系统命名法命名,即选取含醛基的最长碳链为主链,从醛基碳原子开始用阿拉伯数字 (有时也可用希腊字母)编号。例如:



4-甲基戊醛
(γ-甲基戊醛)


芳香醛则当做甲醛的衍生物来命名,或用俗名:



苯甲醛 邻羟基苯甲醛
(苦杏仁油) (水扬醛)


常温下,12个碳以下的脂肪醛是液体 (甲醛为气体),高级脂肪醛是固体。中级醛和某些芳香醛有特殊的香味,可用于化妆品及食品业。由于没有缔合作用,脂肪醛的沸点低于相应的醇,低级醛溶于水。醛的化学性质很活泼,由于羰基的结构使羰基碳原子正性增强,易于发生亲核加成反应。例如,
与氢氰酸加成:


(α-羟基磺酸钠)

羟基磺酸钠不溶于有机溶剂和饱和的亚硫酸氢钠溶液,此反应可用于醛的分离和鉴别。与醇反应:



缩醛

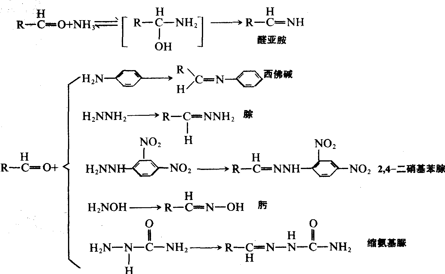
缩醛水解后即得原来的醛,故此法可用于保护醛基。与氨和氨的衍生物反应:

以上与醛反应的试剂叫羰基试剂。醛还可在一定条件下发生还原反应。例如:


此法称梅尔外因一庞道夫还原,在此条件下,双键不被还原。用催化氢化法还原时,分子中的双键也可被还原:



正丁醇

醛还极易发生氧化反应。例如在空气中可自动氧化:



苯甲酸

故苯甲醛瓶口上常有白色固体,即为苯甲酸。与托伦试剂作用 (银镜反应):


与斐林试剂作用:


无α-H的醛与强碱共热,还可发生歧化反应:


此反应称康尼查罗反应。有α-H的醛在稀碱作用下可发生羟醛缩合反应:



醛在自然界虽广泛存在,但仍不能满足需要,大多数醛需经人工合成:氧化或脱氢法 (同时加入乙酸酐保护醛基):


伯醇氧化法:

☚ 环氧乙烷   甲醛 ☛

醛aldehyde

由烃基或氢原子与醛基相连而形成的化合物叫醛。醛化学性质比较活泼,可有加成反应、氧化反应、缩醛反应等。醛有多种,其中甲醛为工业上制造药物、染料及塑料的原料,亦是重要的防腐剂。乙醛是一种催眠药,苯甲醛可作为香料与调料。

含有醛基,通式为RCHO的一类有机化合物,R可以是氢或烃基。醛类化合物具有高度的活泼性,易被氧化、还原,有许多重要的羰基上的加成反应,是制造树脂、增塑剂、溶剂以及染料的重要中间体。

醛quán

{化} (有机化合物的一类) aldehyde
◆醛醇 aldol; aldehyde alcohol; 醛基 aldehyde group; formyl group; 醛酶 aldehydase; 醛酸 aldehyde acid; aldehyde carboxylic acid; 醛(式)糖 aldose; 醛酯 aldehydo-ester

aldehyde

醛quán

16画 酉部 〖英aldehydes〗有机化合物的一类: 甲~|乙~。

随便看

 

离鸟网收录3541549条中英文词条,其功能与新华字典、现代汉语词典、牛津高阶英汉词典等各类中英文词典类似,基本涵盖了全部常用中英文字词句的读音、释义及用法,是语言学习和写作的有利工具。

 

Copyright © 2004-2024 vtrois.com All Rights Reserved
更新时间:2026/4/20 7:24:23