网站首页  词典首页


请输入您要查询的字词:

 

字词 酶抑制剂
类别 中英文字词句释义及详细解析
释义
酶抑制剂

酶抑制剂

酶抑制剂是指能与酶结合,抑制酶催化活性的化合物或药物。临床上通过酶抑制剂对某代谢系统进行特异性干扰达到治疗目的。如用做抗抑郁药的单胺氧化酶抑制剂,用作利尿药的碳酸酐酶抑制剂,用作降压药的多巴脱羧酶抑制剂及抗生素中属于细胞壁合成酶抑制剂的青霉素类、头孢菌素类等。在兽医药及农业上也有应用。此外利用酶抑制剂还可研究酶作用机理和代谢途径。
酶抑制剂的结构往往与其天然底物的结构类似,根据修饰天然底物设计抑制剂,首先要分析和决定与酶结合时分子各部分所起作用,是结合,是相斥还是与结合没有关系的;其次要知道结合部位对相邻位阻的耐受程度。然后取代各功能基以调节与酶相互作用的强弱。
酶抑制剂可分为可逆性的和不可逆性的两大类。
通过非共价键与酶结合的抑制剂为可逆性抑制剂。其结合可以下式表示:


酶(E)、抑制剂(I)和结合而成的酶—抑制剂复合物(EI)之间存在着动态平衡,因此其作用是可逆的。抑制的程度取决于系统中抑制剂的浓度。
可逆性酶抑制剂 根据其对酶和底物相互作用的动力学的影响可以分为三种主要类型。即竞争性的、非竞争性的和反竞争性的。事实上还有混合型的。
竞争性抑制剂 通常为底物的类似物,其特点是在抑制剂(I)与底物(S)共存时,二者竞争酶的同一部位,即活性部位,并与之形成可逆的复合物EI和ES。其抑制程度取决于抑制剂与底物的相对浓度和它们与酶的结合力。过程可简要表示如下式:


非竞争性抑制剂 结构上通常与底物的结构可不相似,它与酶结合的部位与底物的不同,即不在酶的活性部位。因此抑制剂和底物之间不存在竞争性。
酶和底物及抑制剂间的相互作用可以表示如下:


因为抑制剂与酶结合的部位与底物不同,故S可以与EI结合或I与ES结合均形成EIS三元复合物。这类抑制剂可能破坏酶的催化活性,或EIS的活性较ES的低,亦可能EIS是无活性的复合物,故而妨碍产物的生成。
反竞争性抑制剂 是一种只能与酶-底物复合物(ES)结合,而不能与游离酶结合的抑制剂,形成的三元复合物ESI无活性。可以下式简要表示其过程:
混合抑制剂 为竞争性的和非竞争性的中间形式。
临床上通常用的为竞争性抑制剂,例如: 骨胳肌松弛药溴化十烃季铵为乙酰胆碱酯酶抑制剂,磺胺类药物为二氢叶酸合成酶抑制剂,乙胺嘧啶为疟原虫二氢叶酸还原酶抑制剂等。
抑制剂与酶的结合可以比上述的情况更为复杂。例如紧密结合的可逆性酶抑制剂,双底物和多底物类似物及过渡状态类似物。
紧密结合的可逆性抑制剂 也称为化学计量可逆性抑制剂,是指一些与酶结合非常紧密的可逆性抑制剂。特点是具有很低的Ki值和低的EI复合物离解速率。例如抗肿瘤药氨蝶呤、甲氨蝶呤,它们与二氢叶酸还原酶结合非常紧密,从而阻断四氢叶酸的产生,而四氢叶酸是体内合成胸腺嘧啶等代谢物的重要辅因子,由于胸腺嘧啶等合成酶缺乏一碳单位的来源,从而影响胸腺嘧啶的合成,最终影响DNA的生物合成,使细胞增殖生长受到影响。


氨蝶呤R=H


甲氨蝶呤R=CH3
甲氧苄氨嘧啶(TMP)为细菌二氢叶酸还原酶的紧密结合抑制剂,在体外实验中TMP对细菌来源的二氢叶酸还原酶的亲和力要比对哺乳动物来源的二氢叶酸还原酶强10,000倍,因此毒性较低。TMP已作为抗菌药广泛用于临床。
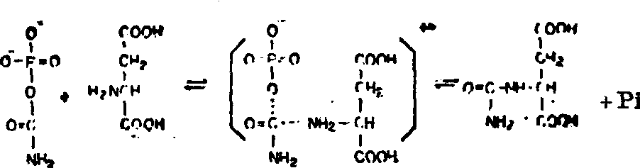
双底物和多底物类似物 多数酶反应包括两个或两个以上的底物。在设计多底物类似物时,通常模仿底物与酶反应生成的过渡态结构或是这些底物与酶结合时的结构,这些类似物的结合点较单底物类似物的多。这样的抑制剂对靶酶一般有高度特异性和亲合性。天冬氨酸盐

过渡态(t)


氨甲酰转移酶催化氨甲酰磷酸盐与L-天冬氨酸盐反应产生N-氨甲酰天冬氨酸,反应经过过渡态 (t)(见图)。N-(磷酸乙酰)-L-天冬氨酸盐(N-phosphonacetyl-L-asparta-te PALA)的结构类似过渡态(t),只是以CH2代替了过渡态氨甲酰磷酸部分的氧,可视为双底物类似物,是氨甲酰磷酸盐的竞争性抑制剂,与酶的结合力比氨甲酰磷酸盐大1000倍。
过渡状态类似物 这种类型的抑制剂设计是根据底物与酶反应时,在过渡状态结构中,底物的结构发生改变,而改变后的结构对酶的活性部位具有最大的亲和力。如果一个化合物与底物的过渡状态结构类似,对靶酶亲和
力强,为其特异性抑制剂。例如胞嘧啶核苷脱氨酶是嘧啶核苷代谢的关键酶,它催化胞嘧啶核苷转变为尿嘧啶核苷,其反应过程是通过水分子在杂环4位作亲核性进攻,生成过渡状态中间体,而四氢尿嘧啶结
构作为其类似物,与胞嘧啶核苷脱氨酶结合,亲和力强,为其抑制剂。
四氢尿嘧啶
不可逆性酶抑制剂 抑制剂与酶之间形成共价键,所以结合很紧密,与酶结合后不受透析或稀释等浓度改变的影响,其抑制过程可以下式表示:
受抑制的程度和时间与浓度有关,假如抑制剂的浓度比酶大得多,将使酶完全和长时间的失活。
上式表示的抑制剂称为非特异性抑制剂,在与酶进行不可逆反应前,虽然它们可与酶的特定部位或特定部位的基团进行反应,但却不能生成动力学上重要的非共价复合物。它们对研究酶的结构和功能是有用的。可是,由于缺乏对酶的特异性,使其在医学上的应用受到限制。在这方面导向活性部位的抑制剂和催化常数抑制剂(Kcat抑制剂)有重要意义。它们对特定的酶或特定类型的酶有特异性。
导向活性部位的不可逆抑制剂(I-y),具有一个内在的活性功能基(y),与酶的活性部位起反应时,先生成一个可逆的酶抑制剂复合物(EI-y)。此时由于活性基团y充分接近酶的亲核基团,导致酶与抑制剂呈共价结合,使酶不可逆地失活。
例如氯甲基酮类的TPCK和TLCK。糜蛋白酶能识别芳香氨基酸的侧链并与之结合,而胰蛋白酶选择性地与赖氨酸和精氨酸的质子化侧链结合。所以氯甲基酮类结构中的R基为芳香基的TPCK和脂链的TLCK相应,特异的与糜蛋白酶和胰蛋白酶形成可逆的EI复合物,此时抑制剂结构中的活性氯甲酮基烃化酶的活性部位组氨酸,形成不可逆的抑制。故TPCK和TLCK为导向活性部位的不可逆抑制剂。
催化常数抑制剂也称为自杀底物,这种抑制剂的特点是本身无活性,当其被酶催化转变成活性型后与酶发生化学反应,生成共价键,不可逆地抑制酶的活性。以反应式简要表示为:
Kcat为催化常数,I为Kcat抑制剂,I*表示其活性型。由于Kcat抑制剂在被靶酶活化前是无活性的,特异的靶酶能活化底物,继而与后者反应,而被不可逆地抑制,因此特异性强。例如大肠杆菌含有β-羟基癸酰硫醇酯脱水酶,它是生物合成不饱和脂肪酸所必需的。△2.4-癸炔酰-N-乙酰半胱胺是该酶的Kcat抑制剂,酶将其作为底物,使其分子中的三键转变为具有高度反应性的共轭的丙二烯后立即使活性部位的组胺酸残基烃基化,而被不可逆抑制。
又例如以黄素为辅酶的单胺氧化酶也可被含有炔键的分子不可逆抑制。优降宁属于这类单胺氧化酶抑制剂,已作为降压药,应用于临床。
优降宁
☚ 抗代谢物   前药 ☛
00005205
随便看

 

离鸟网收录3541549条中英文词条,其功能与新华字典、现代汉语词典、牛津高阶英汉词典等各类中英文词典类似,基本涵盖了全部常用中英文字词句的读音、释义及用法,是语言学习和写作的有利工具。

 

Copyright © 2004-2024 vtrois.com All Rights Reserved
更新时间:2026/4/20 14:37:01