网站首页  词典首页


请输入您要查询的字词:

 

字词 酶作用物复体
类别 中英文字词句释义及详细解析
释义
酶作用物复体

酶作用物复体

在一切酶促反应里,第一步是酶同作用物进行非共价键的结合,形成所谓酶作用物复体。此复体能够再解离恢复自由的作用物和酶,如下:
此结合步骤的速度决定于酶和作用物的本质,但在一切经测量过的结合速度都是很快,上列反应的平衡在少于一秒钟内即行完成。
关于酶与作用物间的化学力的种类的研究尚不够充分。至少有下列几种。
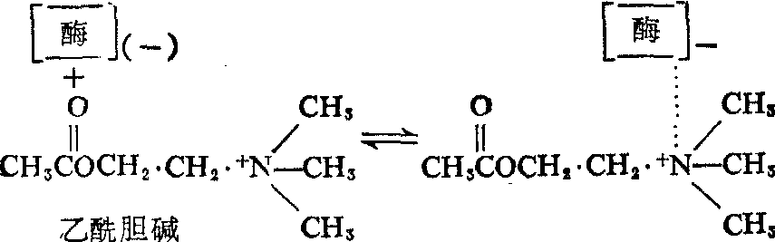
(1) 离子吸引力: 例如乙酰胆碱与胆碱酯酶的结合据认为是包括作用物分子中N原子上的正电荷与酶分子上活性中心里的带负电基群互相吸引。
(2) 氢键: 在消化道里蛋白质被酶水解,蛋白质的肽键部分与酶的结合可能如下
最初由光谱性证明H2O2-过氧化物酶复体的存在。现在已可能提出水解酶的酰化酶复体。
(3) 非极性键: 两种非极性物质可以互相混合溶解,而非极性物质则不能溶于极性溶剂(如水)中。同理,作用物分子的非极性(烃)部位必当与酶活性中心的非极性部位能够互相迫近; 酶与作用物分子的极性基都将向环境中的水迫近并溶于其中,因之作用物被一种所谓非极性键与酶结合。例如在溶菌酶的分子上为作用物分子所适合地充填之用的凹陷沟主要是非极性的,说明非极性键结合在作用物与酶的结合上是很重要的。
酶、作用物及酶-作用物复体的平衡可用平衡常数表达其间的数学关系。
许多酶-作用物复体的Ks值约在10-6~10-3mol数量级。因为酶的工作效率很高,研究中常使用比作用物浓度低很多的酶浓度,例如一种酶-作用物复体的Ks为1×10-5mol,作用物为1×10-3mol,酶为1×10-6mol,在平衡时酶浓度为0.01×10-6,作用物浓度为0.9901×10-3mol,复体浓度为0.99×10-6mol。换言之几乎一切酶都转化成酶-作用物复体,称此种情况为酶、为作用物所饱和。

☚ 酶作用的特异性   酶作用机理 ☛
00000734
随便看

 

离鸟网收录3541549条中英文词条,其功能与新华字典、现代汉语词典、牛津高阶英汉词典等各类中英文词典类似,基本涵盖了全部常用中英文字词句的读音、释义及用法,是语言学习和写作的有利工具。

 

Copyright © 2004-2024 vtrois.com All Rights Reserved
更新时间:2026/4/20 18:17:50