网站首页  词典首页


请输入您要查询的字词:

 

字词 分段通汽时干燥纸的耗热量及蒸汽消耗量的计算
类别 中英文字词句释义及详细解析
释义 分段通汽时干燥纸的耗热量及蒸汽消耗量的计算

1.耗热量的计算

【说明】 今以1kg风干纸作为基准,以三段通汽为例进行计算。

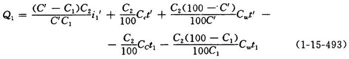
(1)第一段烘缸中的理论耗热量Q1

【公式】

式中 Q1——第一段烘缸中的理论耗热量(kJ/kg)

C1、C2——进出干燥部纸的干度(%)

C——出干燥部第一段烘缸纸的干度(%)

t1——进干燥部纸的温度(℃)

t——出第一段烘缸纸的温度(℃)

i1——第一段烘缸平均干燥温度的饱和蒸汽热含量(kJ/kg)

Cω——水的比热[kJ/(kg·C)],C=4.1868kJ/(kg·C)

Cc——纤维的比热[kJ/(kg·℃)],部分纤维的比热见表1-15-45

表1-15-45 部分纤维的比热Cc

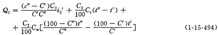
(2)第二段烘缸中的理论耗热量Q2

【公式】

式中 Q2——第二段烘缸中的理论耗热量〔kJ/(kg·℃)〕

C——出第二段烘缸纸的干度(%)

t——出第二段烘缸纸的温度(℃)

i2——第二段烘缸平均干燥温度的饱和蒸汽热含量(kJ/kg)

其它同上

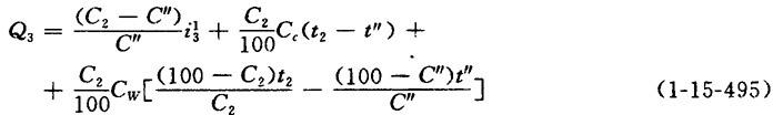
(3)第三段烘缸的理论耗热量Q3

【公式】

式中 Q3——第三段烘缸的理论耗热量[kJ/(kg.C)]

t2——出干燥部纸的温度(℃)

i3——第三段烘缸平均干燥温度的饱和蒸汽热含量(kJ/.kg)

其它同上

2.耗汽量的计算

【说明】 参考上述单段通汽耗汽量的计算。在计算分段通汽(2~3段)的耗汽量时.应就各段的具体情况分别估算其所需热量。然后根据进入第三段烘缸组的蒸汽压力,求出所需蒸汽量,再据此倒推求得进入水汽分离器的蒸汽量和冷凝水量。按同一方法,求得第二段烘缸组的耗汽量以及来自第一组的泛汽量。总耗汽量即相当于第一段烘缸组耗汽量和进入第一个水汽分离器的泛汽量之和。

随便看

 

离鸟网收录3541549条中英文词条,其功能与新华字典、现代汉语词典、牛津高阶英汉词典等各类中英文词典类似,基本涵盖了全部常用中英文字词句的读音、释义及用法,是语言学习和写作的有利工具。

 

Copyright © 2004-2024 vtrois.com All Rights Reserved
更新时间:2026/4/19 6:29:51