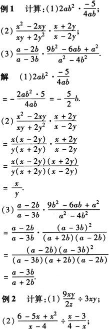
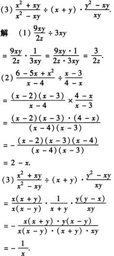
分式的乘除法法则
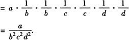
两个分式相乘,把分子相乘的积作为积的分子,把分母相乘的积作为积的分母. 两个分式相除,把除式的分子和分母颠倒位置后,再与被除式相乘. 注意 1.用数学符号表示:b/a×d/c= , 2.分式除法中,除式是整式时,看作分母是1的式子. 3.乘除法属于同一级运算,必须严格按从左到右的顺序计算,切记不可先乘后除. 4.分式乘除法注意结果的符号. 5.分式运算的结果通常化成最简分式或整式.   [解析] 分式乘除法的一般运算步骤: (1)如果含有除法运算先将除法转化成乘法; (2)如果分子、分母中有多项式,先将多项式分解因式; (3)约去分子、分母中的公因式; (4)将约分后的分子、分母分别相乘. 例3 阅读下面的解题过程,然后回答问题.  解 原式=a÷1÷1÷1=a. 上面的解题过程有没有错误?如果有错误,错在何处?并给出正确答案. 解 有错误. 因为乘除属同级运算,应按从左到右的顺序计算. 正确解法如下 原式  |