网站首页  词典首页


请输入您要查询的字词:

 

字词 函数的连续性
类别 中英文字词句释义及详细解析
释义 函数的连续性

1.如果函数y=f(x)总在x=x0处及其附近有定义,而且,就说函数f(x)在点x0处连续.

2.如果函数f(x)在区间(a,b)内,每一点处都连续就说f(x)在区间(a,b)内连续,或说f(x)是(a,b)内的连续函数.

如果f(x)在(a,b)内连续且f(a),,就说f(x)在区〔a,b〕连续.

3.最大值最小值定理:如果f(x)是闭区间[a、b]上的连续函数那么f(x)在区间[a、b]上有最大值和最小值.

函数f(x)在点x0处连续与f(x)在点x0处有极限的联系与区别是什么?

其联系是f(x)在点x0处连续是依据f(x)在点x0处的极限来定义的,它要求存在.

其区别是,函数在某点处连续的函数比在此点处有极限所具备的条件更强,首先f(x)在点x0处有极限,对于点x0而言,x0可以属于f(x)的定义域,也可以不属于f(x)的定义域,即与f(x)是否有意义无关,而f(x)在点x0处连续要求f(x)在点x0及其附近都有定义;其次f(x)在点x0处的极限(值)与f(x)在点x0处的函数值f(x0)可以无关,而f(x)在点x0处连续要求f(x)在点x0处的极限(值)等于它在这一点的函数值f(x0),我们通常说“连续必有极限,有极限未必连续”,正是针对上述事实而言的.

函数f(x)在点x0处连续必须具备以下三个条件.

函数f(x)在点x=x0处有定义;

函数f(x)在点x=x0处有极限;

函数f(x)在点x=x0处的极限值等于在这一点x0处的函数值,即

这三个条件缺一不可,是我们判断函数在一点处是否连续的重要工具.

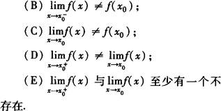
相反地,判断函数在x=x0处不连续的方法:只要证明下列情况之一,即可判定函数f(x)在x0处不连续.

(A)x0不属于f(x)的定义域;

初等函数的连续性有什么性质.

1.幂函数、指数函数、对数函数、三角函数、反三角函数这五种函数都是基本初等函数.

2.基本初等函数在其定义的区间内是连续函数.

3.由基本初等函数与常数经过有限次四则运算及有限次函数的复合而得到的函数,统称为初等函数.

4.任何初等函数在它定义的区间内是连续的.

❺ 初等函数在其定义域内每一点处的极限值就等于这一点处的函数值,即对于初等函数而言,求极限就是求函数值,这使极限运算大大简化.

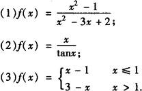
例1 指出下列函数的不连续点

解 由于初等函数在定义域内连续,故对初等函数来说,其不连续点是使其无定义的点,对分段函数或非初等函数来说,除考虑无定义点以外还要分析分界点.

(1)由x2—3x+2=0得x=1或x=2,当x=1或x=2时f(x)无意义,故此函数的不连续点是x=1或x=2.

(2)当x=kπ时,tanx=0,f(x)的分母为0,又当时,tanx无意义,故

的不连续点是x=kπ,或

(k∈Z).

(3)函数f(x)的定义域是全体实数.

在x=1处因为0,

∴f(x)在x=1处不连续,在其他点均连续.

例2 在下列命题中,真命题的个数为( ).

❶ y=f(x)在(a,b)内连续,则它在(a,b)内存在著最大值和最小值;

❷ y=f(x)在(a,b)内连续,则它在(a,b)内既无最大值,也无最小值;

❸ y=f(x)在(a,b]上连续,则它有最大值而无最小值;

❹ y=f(x)在[a,b)上连续,则它无最大值而有最小值.

A.0个 B.1个

C.2个 D.4个

解 考察函数y=sinx,它在(0,π)内连续,其值域为(0,1],故命题❶ ❷ 均不正确.

考察函数y=cosx,它在(—](或[—))上连续,且值域为[0,1],故命题❸ ❹ 均不正确,故应选A.

例3 已知f(x)=2x+x—3,(—1≤x≤5)

(1)求f(x)的最大值,最小值;

(2)解方程f(x)=0.

解 本例是利用函数的连续性和单调性求函数的最值.

(1)令y1=2x,y2=x—3,y1,y2在[—1,5]上都是增函数,

∴f(x)在[—1,5]是增函数,

∴f(x)≤f(5)=25+5—3=34,

∴f(x)max=34,∴f(x)≥f(—1)=2—1—1—3=—7/2∴f(x)min=—7/2.

(2)因为f(x)为初等函数,故f(x)在[—1,5]上连续,

∵f(—1)f(5)=—7/2×34<0,∴f(x)的图象在[—1,5]上至少与x轴有一个交点,又因为f(x)是[—1,5]上的单调函数,∴f(x)的图象在[—1,5]上只与x轴有一个交点,即f(x)=0在[—1,5]上只有一个解,通过分析观察,x=1是方程f(x)=0的解.

建模应用引路

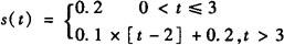
例4 电讯资费调整后,市话费标准为:通话时间不超过3分钟收费0.2元;超过3分钟以后,每增加1分钟收费0.1元,不足1分钟按1分钟计费,则通话费s(元)与通话时间t(分钟)的函数关系s(t)的表达式如何?该函数的不连续点所成数列的表达式(通项公式)又如何?

解 由条件得

其中[x]为取整函数.

因为

∴s(t)在t=3处极限不存在,故3是不连续点.

因为

∴s(t)在t=4点极限不存在,故4是不连续点,同理可得5,6,7…均为不连续点.

∴不连续点列为an=n+2().

随便看

 

离鸟网收录3541549条中英文词条,其功能与新华字典、现代汉语词典、牛津高阶英汉词典等各类中英文词典类似,基本涵盖了全部常用中英文字词句的读音、释义及用法,是语言学习和写作的有利工具。

 

Copyright © 2004-2024 vtrois.com All Rights Reserved
更新时间:2026/4/20 20:22:04