网站首页  词典首页


请输入您要查询的字词:

 

字词 函数的值域
类别 中英文字词句释义及详细解析
释义 函数的值域

1.函数值域的定义

在函数y=f(x)中,与自变量x的值对应的y的值叫做函数值,函数值的集合叫做函数的值域.

2.确定函数值域的原则

(1)当函数y=f(x)用表格给出时,函数的值域是指表格中实数y的集合;

(2)当函数y=f(x)用图象给出时,函数的值域指图象在y轴上的投影所覆盖的实数y的集合;

(3)当函数y=f(x)用解析式给出时,函数的值域由函数的定义域及其对应法则惟一确定.

3.求函数的值域的方法

(1)直接法——从自变量x的范围出发,推出y=f(x)的取值范围;

(2)分离常数法;

(3)配方法——利用换元法将函数转化为二次函数求值域(或最值);

(4)判别式法——运用方程思想,依据二次方程有实根,求出y的取值范围;

(5)换元法——适用于带有根式的函数;

(6)图象法——当一个函数图象可作时,通过图象可求其值域和最值;

(7)反解法.

例1 求函数值域

y=x2+2x+3,x∈[—1,2](配方法)

解 将二次函数配方有

y=(x+1)2+2,

由图象可知区间[—1,2]落在函数递增区间上.

由函数单调性可知

ymin=(—1+1)2+2=2,

ymax=(2+1)2+2=11.

∴函数值域为[2,11].

例2 求函数的值域

∴函数值域为{y|y≠1

注 形如(a≠0)的函数值域可用此法.

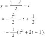
例4 求函数的值域.(换元法)

解 令(t≥0)

代入原函数

配方有

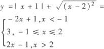
例5 求函数的值域(图象法)

分析 解决此题的关键是去绝对值,采用零点分段法.

解 解法一(数形结合):画出函数的图象.

如下图所示,故值域y≥3.

解法二(数形结合):

把y看作是点(x,0)到两定点A(—1,0)与B(2,0)的距离之和.故y≥|AB|=3.

随便看

 

离鸟网收录3541549条中英文词条,其功能与新华字典、现代汉语词典、牛津高阶英汉词典等各类中英文词典类似,基本涵盖了全部常用中英文字词句的读音、释义及用法,是语言学习和写作的有利工具。

 

Copyright © 2004-2024 vtrois.com All Rights Reserved
更新时间:2026/4/17 23:34:22