函数极限的四则运算
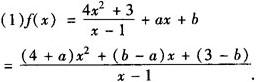
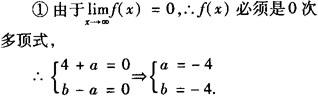
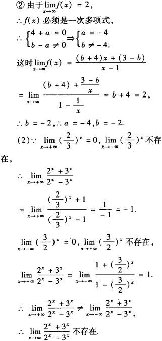
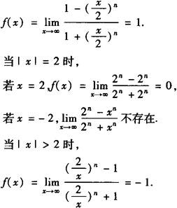
 这些法则对于x→∞(x→x0+,x→x0—,x→+∞,x→—∞)的情况仍然成立. 例1 求下列函数的极限:  解 以上各题所求极限,均属 或∞—∞型,需进行恒等变形约去“0”因子,或化为可进行四则运算的极限.   例2 设 ,求分别满足(1) ❶ , ❷ 的实数a,b的值,(2)讨论 的值的情况. 解 对于“ ”“∞—∞”型的极限,不能直接运用函数极限四则运算法则需先恒等变形,然后再进行四则运算.    在数列极限中n→∞只表示n→+∞,在函数极限中n→∞表示,n→+∞和n→—∞两种变化趋势,故在研究或讨论“x→∞时,f(x)的极限”时需分别讨论x→+∞和x→—∞两种变化趋势下的f(x)的极限. 例3 求函数 的定义域并画出其图象. 解 当|x|<2时,  由此可见,f(x)定义域为{x|x≠—2,x∈R} 图象如下:  |